【药物名称】Sarpogrelate hydrochloride, MCI-9042, Anplag
化学结构式(Chemical Structure):
参考文献No.12176
标题:Pharmaceutically active (3-aminopropoxy)-bibenzyl derivs
作者:Kikumoto, R.; Fukami, H.; Hara, H.; Ninomiya, K.; Sugano, M. (Mitsubishi Chemical Corp.)
来源:EP 0072942
合成路线图解说明:

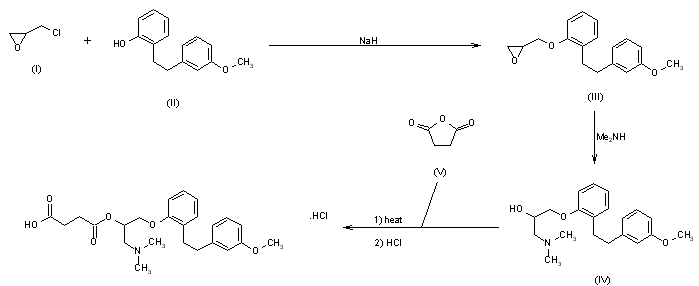
The reaction of 2-hydroxy-3'-methoxybibenzyl (I) with epichlorohydrin (II) by means of NaH in DMF gives 2-(2,3-epoxypropoxy)-3'-methoxybibenzyl (III), which by reaction with dimethylamine in refluxing THF yields 2-[3-(dimethylamino)-2-hydroxypropoxy]-3'-methoxybibenzyl (IV). Finally, this compound is treated with succinic anhydride (V) in refluxing THF and with HCl in acetone.

参考文献No.121021
标题:Syntheses and platelet aggregation inhibitory and antithrombotic properties of [2-[(omega-aminoalkoxy)phenyl]ethyl]benzenes
作者:Osakabe, M.; Fukami, H.; Sugano, M.; Kikumoto, R.; Ninomiya, K.; Tamao, Y.; Hara, H.
来源:J Med Chem 1990,33(6),1818
合成路线图解说明:

The reaction of 2-hydroxy-3'-methoxybibenzyl (I) with epichlorohydrin (II) by means of NaH in DMF gives 2-(2,3-epoxypropoxy)-3'-methoxybibenzyl (III), which by reaction with dimethylamine in refluxing THF yields 2-[3-(dimethylamino)-2-hydroxypropoxy]-3'-methoxybibenzyl (IV). Finally, this compound is treated with succinic anhydride (V) in refluxing THF and with HCl in acetone.

参考文献No.192886
标题:Sarpogrelate Hydrochloride
作者:Prous, J.; Casta馿r, J.
来源:Drugs Fut 1992,17(12),1093
合成路线图解说明:

The reaction of 2-hydroxy-3'-methoxybibenzyl (I) with epichlorohydrin (II) by means of NaH in DMF gives 2-(2,3-epoxypropoxy)-3'-methoxybibenzyl (III), which by reaction with dimethylamine in refluxing THF yields 2-[3-(dimethylamino)-2-hydroxypropoxy]-3'-methoxybibenzyl (IV). Finally, this compound is treated with succinic anhydride (V) in refluxing THF and with HCl in acetone.

Drug Information Express,Drug R&D,Chemical Database,Patent Search.
Copyright © 2006-2026 Drug Future. All rights reserved.Contact Us