【药物名称】Dexibuprofen, (S)-(+)-Ibuprofen, Atriscal, Dolomin, Seractil, DexOptifen
化学结构式(Chemical Structure):
参考文献No.543246
标题:Microbiological transformation 43. Epoxide hydrolaxes as tools for the synthesis of enantiopure alpha-methylstyrene oxides: A new and efficient synthesis of (S)-ibuprofen
作者:Cleij, M.; et al.
来源:J Org Chem 1999,64(14),5029
合成路线图解说明:

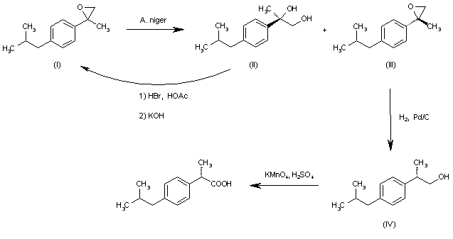
The enzymatic hydrolysis of the racemic epoxide (I) with Aspergillus niger LCP 521 gives the (R)-diol (II), along with unreacted (S)-epoxide (III), which are separated by solvent extraction. The chiral epoxide (III) was submitted to Pd hydrogenation with H2 in DMF yielding the (S)-alcohol (IV). Finally, this compound was oxidized with KMnO4 and sulfuric acid. The hydrolyzed diol (II) can be recycled to racemic epoxide (I) by reaction with HBr in acetic acid followed by cyclization of the intermediate bromohydrin with KOH.

Drug Information Express,Drug R&D,Chemical Database,Patent Search.
Copyright © 2006-2026 Drug Future. All rights reserved.Contact Us