【药物名称】Wy-49051
化学结构式(Chemical Structure):
参考文献No.7849
标题:Histamine H1-antagonists
作者:Abou-Gharbia, M.A.; Nielsen, S.T.; Webb, M.B. (American Home Products Corp.)
来源:EP 0271192; GB 2196963; JP 1988152381; US 4716166
合成路线图解说明:

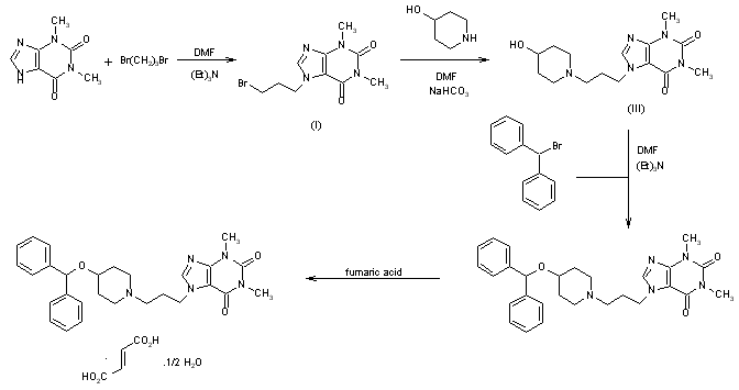
Reaction of theophylline (I) with 1,3-dibromopropane (II) in DMF in the presence of triethylamine afforded the bromo intermediate (III)) in 77% yield. Reaction of (III) with 4-hydroxypiperidine (IV) in DMF in the presence of sodium bicarbonate afforded the unsubstituted hydroxypiperidinyl intermediate (V) in 31% yield which was subsequently alkylated with diphenylmethylbromide (VI) to afford Wy-49,051 in 29% yield.

参考文献No.114545
标题:Wy-49,051
作者:Abou-Gharbia, M.
来源:Drugs Fut 1990,15(2),137
合成路线图解说明:

Reaction of theophylline (I) with 1,3-dibromopropane (II) in DMF in the presence of triethylamine afforded the bromo intermediate (III)) in 77% yield. Reaction of (III) with 4-hydroxypiperidine (IV) in DMF in the presence of sodium bicarbonate afforded the unsubstituted hydroxypiperidinyl intermediate (V) in 31% yield which was subsequently alkylated with diphenylmethylbromide (VI) to afford Wy-49,051 in 29% yield.

Drug Information Express,Drug R&D,Chemical Database,Patent Search.
Copyright © 2006-2026 Drug Future. All rights reserved.Contact Us