【药物名称】Calphostin D, UCN-1028D
化学结构式(Chemical Structure):
参考文献No.573100
标题:Carbene complexes in the synthesis of complex natural products: Total synthesis of the calphostins
作者:Merlic, C.A.; et al.
来源:J Am Chem Soc 2000,122(13),3224
合成路线图解说明:

The bromination of 3,5-dimethoxybenzyl alcohol (I) with NBS gives 2-bromo-3,5-dimethoxybenzyl alcohol (II), which is treated with I2 and triphenylphosphine to yield the benzyl iodide (III). The reaction of (III) with triethyl phosphite affords the phosphonate (IV), which is condensed with the silylated aldehyde (V) by means of lithium hexamethyldisylazide (LiHMDS) giving the silylated pentenol (VI). The reaction of (VI) with chromium hexacarbonyl and BuLi provides the organochromium derivative (VII), which is cyclized with tert-butyl isocyanide and TBAF to afford the naphthalene (VIII). The benzoylation of the OH group of (VIII) with benzoyl chloride gives the benzoate (IX), which is oxidized with dichlorodicyanobenzoquinone (DDQ) to yield the naphthoquinone (X). The oxidative cyclization of (X) with O2 and TFA affords the pentacyclic quinone as a mixture of isomers that was thermally equilibrated to a 3:1 mixture of the desired isomer (XI) (the undesired isomer was recycled).The methylation of (XI) with methyl iodide and TBAF gives the fully methylated perylenequinone (XII).

合成路线图解说明:

Compound (XII) is selectively debenzoylated with sodium methoxide in methanol yielding the monobenzoyl ester (XIII). The acylation of (XIII) with phosgene, triethylamine and monoacetyl hydroquinone (XIV) affords the carbonate ester (XV), which is selectively demethylated with MgI2 and deacetylated with NaHCO3 to afford the target Calpostin C.

合成路线图解说明:

The bromination of 3,5-dimethoxybenzyl alcohol (I) with NBS gives 2-bromo-3,5-dimethoxybenzyl alcohol (II), which is treated with I2 and triphenylphosphine to yield the benzyl iodide (III). The reaction of (III) with triethyl phosphite affords the phosphonate (IV), which is condensed with the silylated aldehyde (V) by means of lithium hexamethyldisylazide (LiHMDS) giving the silylated pentenol (VI). The reaction of (VI) with chromium hexacarbonyl and BuLi provides the organochromium derivative (VII), which is cyclized with tert-butyl isocyanide and TBAF to afford the naphthalene (VIII). The benzoylation of the OH group of (VIII) with benzoyl chloride gives the benzoate (IX), which is oxidized with dichlorodicyanobenzoquinone (DDQ) to yield the naphthoquinone (X). The oxidative cyclization of (X) with O2 and TFA affords the pentacyclic quinone as a mixture of isomers that was thermally equilibrated to a 3:1 mixture of the desired isomer (XI) (the undesired isomer was recycled).The methylation of (XI) with methyl iodide and TBAF gives the fully methylated perylenequinone (XII), which is selectively demethylated with MgI2 to afford the target Calpostin A.

合成路线图解说明:

The bromination of 3,5-dimethoxybenzyl alcohol (I) with NBS gives 2-bromo-3,5-dimethoxybenzyl alcohol (II), which is treated with I2 and triphenylphosphine to yield the benzyl iodide (III). The reaction of (III) with triethyl phosphite affords the phosphonate (IV), which is condensed with the silylated aldehyde (V) by means of lithium hexamethyldisylazide (LiHMDS) giving the silylated pentenol (VI). The reaction of (VI) with chromium hexacarbonyl and BuLi provides the organochromium derivative (VII), which is cyclized with tert-butyl isocyanide and TBAF to afford the naphthalene (VIII). The benzoylation of the OH group of (VIII) with benzoyl chloride gives the benzoate (IX), which is oxidized with dichlorodicyanobenzoquinone (DDQ) to yield the naphthoquinone (X). The oxidative cyclization of (X) with O2 and TFA affords the pentacyclic quinone as a mixture of isomers that was thermally equilibrated to a 3:1 mixture of the desired isomer (XI) (the undesired isomer was recycled).The methylation of (XI) with methyl iodide and TBAF gives the fully methylated perylenequinone (XII).

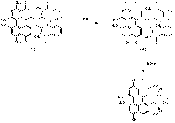
合成路线图解说明:

Intermediate (XII) is selectively demethylated with MgI2 to afford Calpostin A (XIII). Finally, this compound is debenzoylated with NaOMe in methanol to give Calpostin D.

合成路线图解说明:

The bromination of 3,5-dimethoxybenzyl alcohol (I) with NBS gives 2-bromo-3,5-dimethoxybenzyl alcohol (II), which is treated with I2 and triphenylphosphine to yield the benzyl iodide (III). The reaction of (III) with triethyl phosphite affords the phosphonate (IV), which is condensed with the silylated aldehyde (V) by means of lithium hexamethyldisylazide (LiHMDS) giving the silylated pentenol (VI). The reaction of (VI) with chromium hexacarbonyl and BuLi provides the organochromium derivative (VII), which is cyclized with tert-butyl isocyanide and TBAF to afford the naphthalene (VIII). The benzoylation of the OH group of (VIII) with benzoyl chloride gives the benzoate (IX), which is oxidized with dichlorodicyanobenzoquinone (DDQ) to yield the naphthoquinone (X). The oxidative cyclization of (X) with O2 and TFA affords the pentacyclic quinone as a mixture of isomers that was thermally equilibrated to a 3:1 mixture of the desired isomer (XI) (the undesired isomer was recycled).The methylation of (XI) with methyl iodide and TBAF gives the fully methylated perylenequinone (XII).

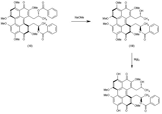
合成路线图解说明:

Compound (XII) is selectively debenzoylated with sodium methoxide in methanol yielding the monobenzoyl ester (XIII). Finally, this compound is selectively demethylated with MgI2 to afford the target Calpostin B.

参考文献No.611042
标题:Total synthesis of the calphostins: Application of fischer carbene complexes and thermodynamic control of atropisomers
作者:Merlic, C.A.; Aldrich, C.C.; Albaneze-Walker, J.; Saghatelian, A.; Mammen, J.
来源:J Org Chem 2001,66(4),1297
合成路线图解说明:

The bromination of 3,5-dimethoxybenzyl alcohol (I) with NBS gives 2-bromo-3,5-dimethoxybenzyl alcohol (II), which is treated with I2 and triphenylphosphine to yield the benzyl iodide (III). The reaction of (III) with triethyl phosphite affords the phosphonate (IV), which is condensed with the silylated aldehyde (V) by means of lithium hexamethyldisylazide (LiHMDS) giving the silylated pentenol (VI). The reaction of (VI) with chromium hexacarbonyl and BuLi provides the organochromium derivative (VII), which is cyclized with tert-butyl isocyanide and TBAF to afford the naphthalene (VIII). The benzoylation of the OH group of (VIII) with benzoyl chloride gives the benzoate (IX), which is oxidized with dichlorodicyanobenzoquinone (DDQ) to yield the naphthoquinone (X). The oxidative cyclization of (X) with O2 and TFA affords the pentacyclic quinone as a mixture of isomers that was thermally equilibrated to a 3:1 mixture of the desired isomer (XI) (the undesired isomer was recycled).The methylation of (XI) with methyl iodide and TBAF gives the fully methylated perylenequinone (XII).

合成路线图解说明:

Compound (XII) is selectively debenzoylated with sodium methoxide in methanol yielding the monobenzoyl ester (XIII). The acylation of (XIII) with phosgene, triethylamine and monoacetyl hydroquinone (XIV) affords the carbonate ester (XV), which is selectively demethylated with MgI2 and deacetylated with NaHCO3 to afford the target Calpostin C.

合成路线图解说明:

The bromination of 3,5-dimethoxybenzyl alcohol (I) with NBS gives 2-bromo-3,5-dimethoxybenzyl alcohol (II), which is treated with I2 and triphenylphosphine to yield the benzyl iodide (III). The reaction of (III) with triethyl phosphite affords the phosphonate (IV), which is condensed with the silylated aldehyde (V) by means of lithium hexamethyldisylazide (LiHMDS) giving the silylated pentenol (VI). The reaction of (VI) with chromium hexacarbonyl and BuLi provides the organochromium derivative (VII), which is cyclized with tert-butyl isocyanide and TBAF to afford the naphthalene (VIII). The benzoylation of the OH group of (VIII) with benzoyl chloride gives the benzoate (IX), which is oxidized with dichlorodicyanobenzoquinone (DDQ) to yield the naphthoquinone (X). The oxidative cyclization of (X) with O2 and TFA affords the pentacyclic quinone as a mixture of isomers that was thermally equilibrated to a 3:1 mixture of the desired isomer (XI) (the undesired isomer was recycled).The methylation of (XI) with methyl iodide and TBAF gives the fully methylated perylenequinone (XII), which is selectively demethylated with MgI2 to afford the target Calpostin A.

合成路线图解说明:

The bromination of 3,5-dimethoxybenzyl alcohol (I) with NBS gives 2-bromo-3,5-dimethoxybenzyl alcohol (II), which is treated with I2 and triphenylphosphine to yield the benzyl iodide (III). The reaction of (III) with triethyl phosphite affords the phosphonate (IV), which is condensed with the silylated aldehyde (V) by means of lithium hexamethyldisylazide (LiHMDS) giving the silylated pentenol (VI). The reaction of (VI) with chromium hexacarbonyl and BuLi provides the organochromium derivative (VII), which is cyclized with tert-butyl isocyanide and TBAF to afford the naphthalene (VIII). The benzoylation of the OH group of (VIII) with benzoyl chloride gives the benzoate (IX), which is oxidized with dichlorodicyanobenzoquinone (DDQ) to yield the naphthoquinone (X). The oxidative cyclization of (X) with O2 and TFA affords the pentacyclic quinone as a mixture of isomers that was thermally equilibrated to a 3:1 mixture of the desired isomer (XI) (the undesired isomer was recycled).The methylation of (XI) with methyl iodide and TBAF gives the fully methylated perylenequinone (XII).

合成路线图解说明:

Intermediate (XII) is selectively demethylated with MgI2 to afford Calpostin A (XIII). Finally, this compound is debenzoylated with NaOMe in methanol to give Calpostin D.

合成路线图解说明:

The bromination of 3,5-dimethoxybenzyl alcohol (I) with NBS gives 2-bromo-3,5-dimethoxybenzyl alcohol (II), which is treated with I2 and triphenylphosphine to yield the benzyl iodide (III). The reaction of (III) with triethyl phosphite affords the phosphonate (IV), which is condensed with the silylated aldehyde (V) by means of lithium hexamethyldisylazide (LiHMDS) giving the silylated pentenol (VI). The reaction of (VI) with chromium hexacarbonyl and BuLi provides the organochromium derivative (VII), which is cyclized with tert-butyl isocyanide and TBAF to afford the naphthalene (VIII). The benzoylation of the OH group of (VIII) with benzoyl chloride gives the benzoate (IX), which is oxidized with dichlorodicyanobenzoquinone (DDQ) to yield the naphthoquinone (X). The oxidative cyclization of (X) with O2 and TFA affords the pentacyclic quinone as a mixture of isomers that was thermally equilibrated to a 3:1 mixture of the desired isomer (XI) (the undesired isomer was recycled).The methylation of (XI) with methyl iodide and TBAF gives the fully methylated perylenequinone (XII).

合成路线图解说明:

Compound (XII) is selectively debenzoylated with sodium methoxide in methanol yielding the monobenzoyl ester (XIII). Finally, this compound is selectively demethylated with MgI2 to afford the target Calpostin B.

Drug Information Express,Drug R&D,Chemical Database,Patent Search.
Copyright © 2006-2026 Drug Future. All rights reserved.Contact Us