【药物名称】Galocitabine, Ro-09-1390
化学结构式(Chemical Structure):
参考文献No.10454
标题:Fluorocytidine derivs., their preparation and medical preparations containing them
作者:Fujiu, M.; Ishitsuka, H.; Miwa, M.; Umeda, I.; Yokose, K. (F. Hoffmann-La Roche AG)
来源:AU 8825168; EP 0316704; JP 1989153696; US 4966891
合成路线图解说明:

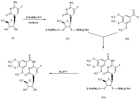
The silylation of 5'-deoxy-5-fluorocytidine (I) with tert-butyldimethylsilyl chloride and imidazole in DMF gives 2'-O,3'-O-bis(tert-butyldimethylsilyl)-5'-deoxy-5-fluorocytidine (II), which is acylated with 3,4,5-trimethoxybenzoyl chloride (III) and dimethylaminopyridine in dichloromethane to afford 2'-O,3'-O-bis(tert-butyldimethylsilyl)-5'-deoxy-5-fluoro-N4-(3,4,5-trimethoxybenzoyl)cytidine (IV). Finally, this compound is deprotected with tetrabutylammonium fluoride in THF.

参考文献No.202805
标题:Galocitabine
作者:Hoshi, A.; Casta馿r, J.
来源:Drugs Fut 1993,18(4),316
合成路线图解说明:

The silylation of 5'-deoxy-5-fluorocytidine (I) with tert-butyldimethylsilyl chloride and imidazole in DMF gives 2'-O,3'-O-bis(tert-butyldimethylsilyl)-5'-deoxy-5-fluorocytidine (II), which is acylated with 3,4,5-trimethoxybenzoyl chloride (III) and dimethylaminopyridine in dichloromethane to afford 2'-O,3'-O-bis(tert-butyldimethylsilyl)-5'-deoxy-5-fluoro-N4-(3,4,5-trimethoxybenzoyl)cytidine (IV). Finally, this compound is deprotected with tetrabutylammonium fluoride in THF.

Drug Information Express,Drug R&D,Chemical Database,Patent Search.
Copyright © 2006-2026 Drug Future. All rights reserved.Contact Us