【药物名称】SR-58611, SR-58611A
化学结构式(Chemical Structure):
参考文献No.253714
标题:Synthesis and beta-adrenergic activity of atypical beta-adrenergic phenylethanolaminotetralin stereoisomers
作者:Cecchi, R.; et al.
来源:Eur J Med Chem 1994,29(4),259
合成路线图解说明:

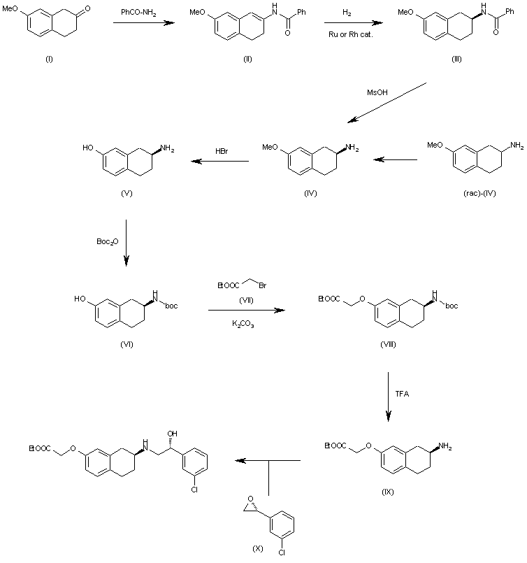
The reaction of 7-methoxy-2-tetralone (I) with benzamide in refluxing toluene gives N-(7-methoxy-3,4-dihydronpahthalen-2-yl)benzamide (II), which is enantioselectively hydrogenated with H2 over a chiral Ru or Rh catalyst yielding the chiral benzamide (III). The hydrolysis of (III) with methanesulfonic acid in acetic acid at 160 C affords the chiral 7-methoxy-1,2,3,4-tetrahydronaphthalen-2(S)-amine (IV) , which is treated with 48% HBr affording 7-hydroxy-1,2,3,4-tetrahydronaphthalen-2(S)-ylamine (V). The protection of the amino group of (V) with Boc2O and triethylamine gives the carbamate (VI), which is condensed with ethyl 2-bromoacetate (VII) by means of K2CO3 yielding 2-[7(S)-(tert-butoxycarbonylamino)-5,6,7,8-tetrahydronaphthalen-2-yloxy]acetic acid ethyl ester (VIII). The deprotection of (VIII) with TFA affords 2-(7(S)-amino-5,6,7,8-tetrahydronaphthalen-2-yloxy]acetic acid ethyl ester (IX), which is finally condensed with the chiral 2(R)-(3-chlorophenyl)oxirane (X) in hot DMS. The chiral intermediate 7-methoxy-1,2,3,4-tetrahydronaphthalen-2(S)-amine (IV) can also by obtained by optical resolution of the racemic mixture (rac)-(IV) by means of (R)-(-)-mandelic acid.

合成路线图解说明:

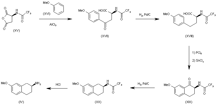
The chiral intermediate 7-methoxy-1,2,3,4-tetrahydronaphthalen-2(S)-amine (IV) has also been obtained as follows: The Friedel Crafts condensation of anisole (XV) with N-trifluoroacetyl-L-aspartic acid anhydride (XVI) by means of AlCl3 in dichloromethane gives 4-(4-methoxyphenyl)-4-oxo-2(S)-(trifluoro-acetamido)butyric acid (XVII), which is hydrogenated with H2 over Pd/C in ethanol/H2SO4 yielding 4-(4-methoxyphenyl)-2(S)-(trifluoroacetamido)butyric acid (XVIII). The cyclization of (XVIII) by its reaction with PCl5, followed by a treatment with SnCl4 provides the tetralone (XIX), which is hydrogenated as before to give N-(7-methoxy-1,2,3,4-tetrahydronaphthalen-2(S)-yl)trifluoro-acetamide (XX). Finally, this compound is deacetylated with HCl in ethanol to provide the chiral intermediate the amine (IV).

参考文献No.539505
标题:Alternative synthesis of the chiral atypical beta-adrenergic phenylethanolaminotetraline agonist SR58611A using enantioselective hydrogenation
作者:Devocelle, M.; et al.
来源:Tetrahedron Lett 1999,40(24),4551
合成路线图解说明:

The reaction of 7-methoxy-2-tetralone (I) with benzamide in refluxing toluene gives N-(7-methoxy-3,4-dihydronpahthalen-2-yl)benzamide (II), which is enantioselectively hydrogenated with H2 over a chiral Ru or Rh catalyst yielding the chiral benzamide (III). The hydrolysis of (III) with methanesulfonic acid in acetic acid at 160 C affords the chiral 7-methoxy-1,2,3,4-tetrahydronaphthalen-2(S)-amine (IV) , which is treated with 48% HBr affording 7-hydroxy-1,2,3,4-tetrahydronaphthalen-2(S)-ylamine (V). The protection of the amino group of (V) with Boc2O and triethylamine gives the carbamate (VI), which is condensed with ethyl 2-bromoacetate (VII) by means of K2CO3 yielding 2-[7(S)-(tert-butoxycarbonylamino)-5,6,7,8-tetrahydronaphthalen-2-yloxy]acetic acid ethyl ester (VIII). The deprotection of (VIII) with TFA affords 2-(7(S)-amino-5,6,7,8-tetrahydronaphthalen-2-yloxy]acetic acid ethyl ester (IX), which is finally condensed with the chiral 2(R)-(3-chlorophenyl)oxirane (X) in hot DMS. The chiral intermediate 7-methoxy-1,2,3,4-tetrahydronaphthalen-2(S)-amine (IV) can also by obtained by optical resolution of the racemic mixture (rac)-(IV) by means of (R)-(-)-mandelic acid.

合成路线图解说明:

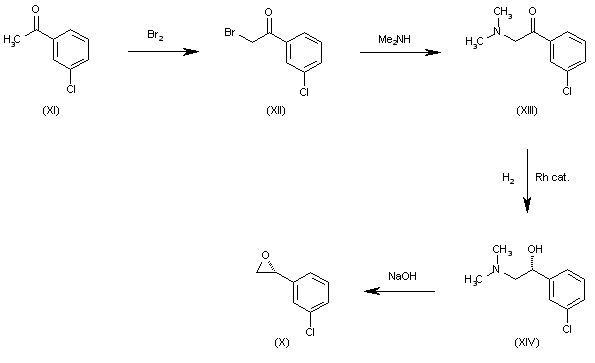
The chiral intermediate 2(R)-(3-chlorophenyl)oxirane (X) has been obtained as follows: The bromination of 3'-chloroacetophenone (XI) with Br2 in acetic acid gives the 3'-chlorophenacyl bromide (XII), which is treated with dimethylamine in toluene yielding 3'-chloro-2-(dimethylamino)acetophenone (XIII). The hydrogenation of (XIII) with H2 over a chiral Rh catalyst affords the (R)-alcohol (XIV), which is finally treated with NaOH in chloroform to provide the intermediate oxirane (X).

合成路线图解说明:

The chiral intermediate 7-methoxy-1,2,3,4-tetrahydronaphthalen-2(S)-amine (IV) has also been obtained as follows: The Friedel Crafts condensation of anisole (XV) with N-trifluoroacetyl-L-aspartic acid anhydride (XVI) by means of AlCl3 in dichloromethane gives 4-(4-methoxyphenyl)-4-oxo-2(S)-(trifluoro-acetamido)butyric acid (XVII), which is hydrogenated with H2 over Pd/C in ethanol/H2SO4 yielding 4-(4-methoxyphenyl)-2(S)-(trifluoroacetamido)butyric acid (XVIII). The cyclization of (XVIII) by its reaction with PCl5, followed by a treatment with SnCl4 provides the tetralone (XIX), which is hydrogenated as before to give N-(7-methoxy-1,2,3,4-tetrahydronaphthalen-2(S)-yl)trifluoro-acetamide (XX). Finally, this compound is deacetylated with HCl in ethanol to provide the chiral intermediate the amine (IV).

Drug Information Express,Drug R&D,Chemical Database,Patent Search.
Copyright © 2006-2026 Drug Future. All rights reserved.Contact Us