【药物名称】FR-115224, FK-224
化学结构式(Chemical Structure):
参考文献No.
179818
标题:
FK-224
作者:
Tasaka, K.
来源:
Drugs Fut 1992,17(8),679
合成路线图解说明:
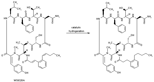
Catalytic hydrogenation of WS9326A gave tetrahydro-WS9326A (FK224).
参考文献No.
802071
标题:
WS9326A, a novel tachykinin antagonist isolated from Streptomyces violacenoniger No. 9326. I. Taxonomy, fermentation, isolation, physico-chemical properties and biological activities
作者:
Hayashi, K.; Hashimoto, M.; Shigematsu, N.; Nishikawa, M.; Ezaki, M.; Yamashita, M.; Kiyoto, S.; Okuhara, M.; Kohsaka, M.; Imanaka, H.
来源:
J Antibiot 1992,45(7),1055-63
合成路线图解说明:
Catalytic hydrogenation of WS9326A gave tetrahydro-WS9326A (FK224).
Drug Information Express,Drug R&D,Chemical Database,Patent Search.
Copyright © 2006-2026
Drug Future
. All rights reserved.
Contact Us