【药物名称】Miglustat, N-Butyl-deoxynojirimycin, N-Bu-DNJ, OGT-918, SC-48334, Zavesca, Vevesca
化学结构式(Chemical Structure):
参考文献No.887
标题:New 3,4,5-Trihydroxypiperidine derivs., process for their preparation and medicaments and fodder containing them
作者:Junge, B.; Puls, W.; Krause, H.P.; M黮ler, L. (Bayer AG)
来源:DE 2758025; EP 0000947
合成路线图解说明:

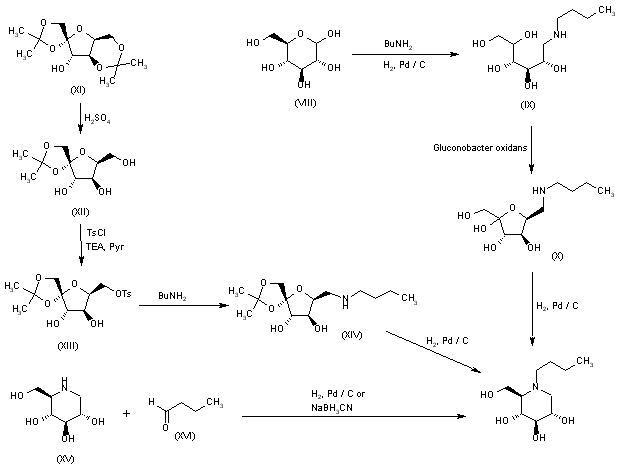
3) The reductocondensation of D-glucose (VIII) and butylamine by means of H2 over Pd/C in ethanol gives N-butylglucamine (IX), which is submitted to a biochemical oxidation by means of Gluconobacter oxidans in water to yield 6-(butylamino)-6-deoxy-a-L-sorbofuranose (X). Finally, this compound is submitted to a reductive cyclization with H2 over Pd/C in ethanol/water. 4) The selective hydrolysis of 1,2:4,6-di-O-isopropylidene-a-L-sorbofuranose (XI) (together with some of its 1,3:4,6-isomer) by means of H2SO4 in methanol gives 1,2-O-isopropylidene-a-L-sorbofuranose (XII), which is treated with tosyl chloride, triethylamine and pyridine to yield the monotosylated sugar (XIII). Reaction of the protected sugar (XIII) with butylamine in hot pyridine/triethylamine affords 6-(butylamino)-6-deoxy-1,2-O-isopropylidene-a-L-sorbofuranose (XIV), which is finally submitted to a reductive cyclization by means of H2 over Pd/C in water. 5) Directly by reductocondensation of 1-deoxynojiri-mycin (XV) with butyraldehyde (XVI) by means of H2 over Pd/C in methanol or with NaBH3CN in methanol/ HCl.

参考文献No.27854
标题:Use of 1-deoxynojirimycin and its derivs. for treating mammals infected with respiratory syncytial virus
作者:Bryant, M.L.; Koszyk, F.J.; Mueller, R.A.; Partis, R.A. (Pharmacia Corp.)
来源:WO 9522975
合成路线图解说明:

3) The reductocondensation of D-glucose (VIII) and butylamine by means of H2 over Pd/C in ethanol gives N-butylglucamine (IX), which is submitted to a biochemical oxidation by means of Gluconobacter oxidans in water to yield 6-(butylamino)-6-deoxy-a-L-sorbofuranose (X). Finally, this compound is submitted to a reductive cyclization with H2 over Pd/C in ethanol/water. 4) The selective hydrolysis of 1,2:4,6-di-O-isopropylidene-a-L-sorbofuranose (XI) (together with some of its 1,3:4,6-isomer) by means of H2SO4 in methanol gives 1,2-O-isopropylidene-a-L-sorbofuranose (XII), which is treated with tosyl chloride, triethylamine and pyridine to yield the monotosylated sugar (XIII). Reaction of the protected sugar (XIII) with butylamine in hot pyridine/triethylamine affords 6-(butylamino)-6-deoxy-1,2-O-isopropylidene-a-L-sorbofuranose (XIV), which is finally submitted to a reductive cyclization by means of H2 over Pd/C in water. 5) Directly by reductocondensation of 1-deoxynojiri-mycin (XV) with butyraldehyde (XVI) by means of H2 over Pd/C in methanol or with NaBH3CN in methanol/ HCl.

参考文献No.58555
标题:Process for producing polyhydroxylated piperidines and pyrrolidines and cpds. thereof
作者:Reitz, A.; Baxter, E. (Ortho-McNeil Pharmaceutical, Inc.)
来源:WO 9205152
合成路线图解说明:

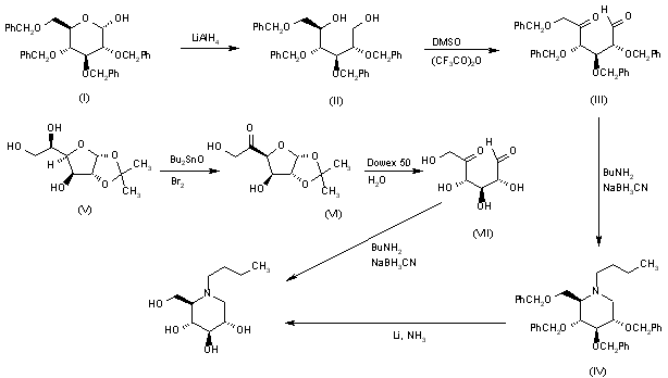
1) The reductive ring opening of 2,3,4,6-tetra-O-benzyl-a-D-glucopyranose (I) with LiAlH4 in THF gives the diol (II), which is oxidized by means of DMSO, trifluoroacetic anhydride and triethylamine in dichloromethane to yield the unstable ketoaldehyde (III), which, without isolation, is submitted to a reductocyclization with butyl-amine and NaBH3CN in methanol to afford the protected iminosugar (IV). Finally, this compound is debenzylated by means of Li and NH3 in THF. 2) The oxidation of 1,2-O-isopropylidene-5-oxo-a-D-glucofuranose (V) by means of Bu2SnO and Br2 in refluxing methanol provides the 5-oxoglucofuranose derivative (VI), which is hydrolyzed with Dowex 50W-X8 in water to yield 5-oxo-D-glucose (VII). Finally, this compound is submitted to a reductocyclization with butyl-amine and NaBH3CN in methanol.

参考文献No.58556
标题:Process for producing N-substd.-1-deoxynojirimycin
作者:Wang, P.T.; Grabner, R.W.; Landis, B.H.; Prunier, M.L.; Scaros, M.G. (Pharmacia Corp.)
来源:EP 0477160
合成路线图解说明:

3) The reductocondensation of D-glucose (VIII) and butylamine by means of H2 over Pd/C in ethanol gives N-butylglucamine (IX), which is submitted to a biochemical oxidation by means of Gluconobacter oxidans in water to yield 6-(butylamino)-6-deoxy-a-L-sorbofuranose (X). Finally, this compound is submitted to a reductive cyclization with H2 over Pd/C in ethanol/water. 4) The selective hydrolysis of 1,2:4,6-di-O-isopropylidene-a-L-sorbofuranose (XI) (together with some of its 1,3:4,6-isomer) by means of H2SO4 in methanol gives 1,2-O-isopropylidene-a-L-sorbofuranose (XII), which is treated with tosyl chloride, triethylamine and pyridine to yield the monotosylated sugar (XIII). Reaction of the protected sugar (XIII) with butylamine in hot pyridine/triethylamine affords 6-(butylamino)-6-deoxy-1,2-O-isopropylidene-a-L-sorbofuranose (XIV), which is finally submitted to a reductive cyclization by means of H2 over Pd/C in water. 5) Directly by reductocondensation of 1-deoxynojiri-mycin (XV) with butyraldehyde (XVI) by means of H2 over Pd/C in methanol or with NaBH3CN in methanol/ HCl.

参考文献No.58557
标题:Process for preparation of 1,5-(alkylimino)-1,5-dideoxy-D-glucitol and derivs. thereof
作者:Weier, R.M.; Behling, J.R.; Farid, P.; Medich, J.R.; Khanna, I.; Prunier, M.; Scaros, M. (Pharmacia Corp.)
来源:WO 9117145
合成路线图解说明:

3) The reductocondensation of D-glucose (VIII) and butylamine by means of H2 over Pd/C in ethanol gives N-butylglucamine (IX), which is submitted to a biochemical oxidation by means of Gluconobacter oxidans in water to yield 6-(butylamino)-6-deoxy-a-L-sorbofuranose (X). Finally, this compound is submitted to a reductive cyclization with H2 over Pd/C in ethanol/water. 4) The selective hydrolysis of 1,2:4,6-di-O-isopropylidene-a-L-sorbofuranose (XI) (together with some of its 1,3:4,6-isomer) by means of H2SO4 in methanol gives 1,2-O-isopropylidene-a-L-sorbofuranose (XII), which is treated with tosyl chloride, triethylamine and pyridine to yield the monotosylated sugar (XIII). Reaction of the protected sugar (XIII) with butylamine in hot pyridine/triethylamine affords 6-(butylamino)-6-deoxy-1,2-O-isopropylidene-a-L-sorbofuranose (XIV), which is finally submitted to a reductive cyclization by means of H2 over Pd/C in water. 5) Directly by reductocondensation of 1-deoxynojiri-mycin (XV) with butyraldehyde (XVI) by means of H2 over Pd/C in methanol or with NaBH3CN in methanol/ HCl.

参考文献No.60727
标题:Antiviral cpds.
作者:Partis, R.A.; Mueller, R.A.; Koszyk, F.J. (Pharmacia Corp.)
来源:US 5310745
合成路线图解说明:

3) The reductocondensation of D-glucose (VIII) and butylamine by means of H2 over Pd/C in ethanol gives N-butylglucamine (IX), which is submitted to a biochemical oxidation by means of Gluconobacter oxidans in water to yield 6-(butylamino)-6-deoxy-a-L-sorbofuranose (X). Finally, this compound is submitted to a reductive cyclization with H2 over Pd/C in ethanol/water. 4) The selective hydrolysis of 1,2:4,6-di-O-isopropylidene-a-L-sorbofuranose (XI) (together with some of its 1,3:4,6-isomer) by means of H2SO4 in methanol gives 1,2-O-isopropylidene-a-L-sorbofuranose (XII), which is treated with tosyl chloride, triethylamine and pyridine to yield the monotosylated sugar (XIII). Reaction of the protected sugar (XIII) with butylamine in hot pyridine/triethylamine affords 6-(butylamino)-6-deoxy-1,2-O-isopropylidene-a-L-sorbofuranose (XIV), which is finally submitted to a reductive cyclization by means of H2 over Pd/C in water. 5) Directly by reductocondensation of 1-deoxynojiri-mycin (XV) with butyraldehyde (XVI) by means of H2 over Pd/C in methanol or with NaBH3CN in methanol/ HCl.

参考文献No.61253
标题:A novel process for the synthesis of aza-sugars
作者:Lopes, C.R.; Lopes, R.S.C.; Matos, C.R.R.
来源:BR 9902585
合成路线图解说明:

1) The reductive ring opening of 2,3,4,6-tetra-O-benzyl-a-D-glucopyranose (I) with LiAlH4 in THF gives the diol (II), which is oxidized by means of DMSO, trifluoroacetic anhydride and triethylamine in dichloromethane to yield the unstable ketoaldehyde (III), which, without isolation, is submitted to a reductocyclization with butyl-amine and NaBH3CN in methanol to afford the protected iminosugar (IV). Finally, this compound is debenzylated by means of Li and NH3 in THF. 2) The oxidation of 1,2-O-isopropylidene-5-oxo-a-D-glucofuranose (V) by means of Bu2SnO and Br2 in refluxing methanol provides the 5-oxoglucofuranose derivative (VI), which is hydrolyzed with Dowex 50W-X8 in water to yield 5-oxo-D-glucose (VII). Finally, this compound is submitted to a reductocyclization with butyl-amine and NaBH3CN in methanol.

参考文献No.706618
标题:Synthesis of 1-deoxynojirimycin and N-butyl-1-deoxynojirimycin
作者:Matos, C.R.R.; Lopes, R.S.C.; Lopes, C.C.
来源:Synthesis (Stuttgart) 1999,(4),571
合成路线图解说明:

1) The reductive ring opening of 2,3,4,6-tetra-O-benzyl-a-D-glucopyranose (I) with LiAlH4 in THF gives the diol (II), which is oxidized by means of DMSO, trifluoroacetic anhydride and triethylamine in dichloromethane to yield the unstable ketoaldehyde (III), which, without isolation, is submitted to a reductocyclization with butyl-amine and NaBH3CN in methanol to afford the protected iminosugar (IV). Finally, this compound is debenzylated by means of Li and NH3 in THF. 2) The oxidation of 1,2-O-isopropylidene-5-oxo-a-D-glucofuranose (V) by means of Bu2SnO and Br2 in refluxing methanol provides the 5-oxoglucofuranose derivative (VI), which is hydrolyzed with Dowex 50W-X8 in water to yield 5-oxo-D-glucose (VII). Finally, this compound is submitted to a reductocyclization with butyl-amine and NaBH3CN in methanol.

参考文献No.706619
标题:Expeditious synthesis of azasugars by the double reductive amination of dicarbonyl sugars
作者:Baxter, E.W.; Reitz, A.B.
来源:J Org Chem 1994,59(11),3175
合成路线图解说明:

1) The reductive ring opening of 2,3,4,6-tetra-O-benzyl-a-D-glucopyranose (I) with LiAlH4 in THF gives the diol (II), which is oxidized by means of DMSO, trifluoroacetic anhydride and triethylamine in dichloromethane to yield the unstable ketoaldehyde (III), which, without isolation, is submitted to a reductocyclization with butyl-amine and NaBH3CN in methanol to afford the protected iminosugar (IV). Finally, this compound is debenzylated by means of Li and NH3 in THF. 2) The oxidation of 1,2-O-isopropylidene-5-oxo-a-D-glucofuranose (V) by means of Bu2SnO and Br2 in refluxing methanol provides the 5-oxoglucofuranose derivative (VI), which is hydrolyzed with Dowex 50W-X8 in water to yield 5-oxo-D-glucose (VII). Finally, this compound is submitted to a reductocyclization with butyl-amine and NaBH3CN in methanol.

参考文献No.723080
标题:Miglustat
作者:Sorbera, L.A.; Casta馿r, J.; Bay閟, M.
来源:Drugs Fut 2003,28(3),229
合成路线图解说明:

1) The reductive ring opening of 2,3,4,6-tetra-O-benzyl-a-D-glucopyranose (I) with LiAlH4 in THF gives the diol (II), which is oxidized by means of DMSO, trifluoroacetic anhydride and triethylamine in dichloromethane to yield the unstable ketoaldehyde (III), which, without isolation, is submitted to a reductocyclization with butyl-amine and NaBH3CN in methanol to afford the protected iminosugar (IV). Finally, this compound is debenzylated by means of Li and NH3 in THF. 2) The oxidation of 1,2-O-isopropylidene-5-oxo-a-D-glucofuranose (V) by means of Bu2SnO and Br2 in refluxing methanol provides the 5-oxoglucofuranose derivative (VI), which is hydrolyzed with Dowex 50W-X8 in water to yield 5-oxo-D-glucose (VII). Finally, this compound is submitted to a reductocyclization with butyl-amine and NaBH3CN in methanol.

合成路线图解说明:

3) The reductocondensation of D-glucose (VIII) and butylamine by means of H2 over Pd/C in ethanol gives N-butylglucamine (IX), which is submitted to a biochemical oxidation by means of Gluconobacter oxidans in water to yield 6-(butylamino)-6-deoxy-a-L-sorbofuranose (X). Finally, this compound is submitted to a reductive cyclization with H2 over Pd/C in ethanol/water. 4) The selective hydrolysis of 1,2:4,6-di-O-isopropylidene-a-L-sorbofuranose (XI) (together with some of its 1,3:4,6-isomer) by means of H2SO4 in methanol gives 1,2-O-isopropylidene-a-L-sorbofuranose (XII), which is treated with tosyl chloride, triethylamine and pyridine to yield the monotosylated sugar (XIII). Reaction of the protected sugar (XIII) with butylamine in hot pyridine/triethylamine affords 6-(butylamino)-6-deoxy-1,2-O-isopropylidene-a-L-sorbofuranose (XIV), which is finally submitted to a reductive cyclization by means of H2 over Pd/C in water. 5) Directly by reductocondensation of 1-deoxynojiri-mycin (XV) with butyraldehyde (XVI) by means of H2 over Pd/C in methanol or with NaBH3CN in methanol/ HCl.

参考文献No.723129
标题:Bioconversion of N-butylglucamine to 6-deoxy-6-butylamino sorbose by Gluconobacter oxydans
作者:Landis, B.H.; McLaughlin, J.K.; Heeren, R.; Grabner, R.W.; Wang, P.T.
来源:Org Process Res Dev 2002,6(4),547
合成路线图解说明:

3) The reductocondensation of D-glucose (VIII) and butylamine by means of H2 over Pd/C in ethanol gives N-butylglucamine (IX), which is submitted to a biochemical oxidation by means of Gluconobacter oxidans in water to yield 6-(butylamino)-6-deoxy-a-L-sorbofuranose (X). Finally, this compound is submitted to a reductive cyclization with H2 over Pd/C in ethanol/water. 4) The selective hydrolysis of 1,2:4,6-di-O-isopropylidene-a-L-sorbofuranose (XI) (together with some of its 1,3:4,6-isomer) by means of H2SO4 in methanol gives 1,2-O-isopropylidene-a-L-sorbofuranose (XII), which is treated with tosyl chloride, triethylamine and pyridine to yield the monotosylated sugar (XIII). Reaction of the protected sugar (XIII) with butylamine in hot pyridine/triethylamine affords 6-(butylamino)-6-deoxy-1,2-O-isopropylidene-a-L-sorbofuranose (XIV), which is finally submitted to a reductive cyclization by means of H2 over Pd/C in water. 5) Directly by reductocondensation of 1-deoxynojiri-mycin (XV) with butyraldehyde (XVI) by means of H2 over Pd/C in methanol or with NaBH3CN in methanol/ HCl.

参考文献No.723177
标题:A new and improved synthesis of N-butyl-1-deoxynojirimycin
作者:Scaros, M.G.; Prunier, M.L.; Rutter, R.J.; Yonan, P.K.; Grabner, R.; Landis, B.
来源:Chem Ind (New York 1979) 1994,5341
合成路线图解说明:

3) The reductocondensation of D-glucose (VIII) and butylamine by means of H2 over Pd/C in ethanol gives N-butylglucamine (IX), which is submitted to a biochemical oxidation by means of Gluconobacter oxidans in water to yield 6-(butylamino)-6-deoxy-a-L-sorbofuranose (X). Finally, this compound is submitted to a reductive cyclization with H2 over Pd/C in ethanol/water. 4) The selective hydrolysis of 1,2:4,6-di-O-isopropylidene-a-L-sorbofuranose (XI) (together with some of its 1,3:4,6-isomer) by means of H2SO4 in methanol gives 1,2-O-isopropylidene-a-L-sorbofuranose (XII), which is treated with tosyl chloride, triethylamine and pyridine to yield the monotosylated sugar (XIII). Reaction of the protected sugar (XIII) with butylamine in hot pyridine/triethylamine affords 6-(butylamino)-6-deoxy-1,2-O-isopropylidene-a-L-sorbofuranose (XIV), which is finally submitted to a reductive cyclization by means of H2 over Pd/C in water. 5) Directly by reductocondensation of 1-deoxynojiri-mycin (XV) with butyraldehyde (XVI) by means of H2 over Pd/C in methanol or with NaBH3CN in methanol/ HCl.

Drug Information Express,Drug R&D,Chemical Database,Patent Search.
Copyright © 2006-2026 Drug Future. All rights reserved.Contact Us