【药物名称】MW-60U
化学结构式(Chemical Structure):
参考文献No.93357
标题:Synthesis and antiviral properties of (E)-5-(2-bromovinyl)-2'-deoxycytidine-related compounds
作者:Jones, A.; Sayers, R.; Walker, R.; De Clercq, E.
来源:J Med Chem 1988,31(1),268
合成路线图解说明:

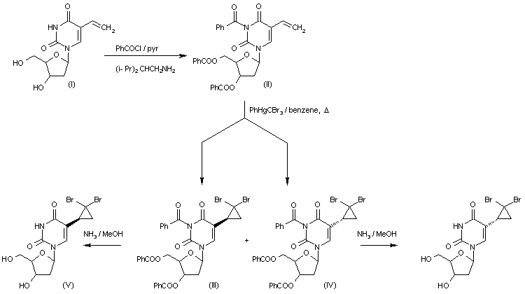
The reaction of 5-vinyl-2'-deoxyuridine (I) with benzoyl chloride in the presence of pyridine and diisopropylethylamine gives 3,3',5'-tribenzoyl-5-vinyl-2'-deoxyuridine (II). Subsequent reaction of (II) with phenyl(tribromomethyl)mercury in benzene at reflux yields a mixture of 5-[(1S)-2.2-dibromocyclopropyl]-3,3',5'-tribenzoyl-2'-deoxyuridine (III, m.p. 220 C) and 5-[(1R)-2,2-dibromocyclopropyl]-3,3',5'-tribenzoyl-2'-deoxyuridine (IV, m.p. 228 C) diastereomers which are separated by silica gel column chromatography (1:1 ratio) using a solvent gradient starting with toluene and ending with toluene: ethyl acetate (19:1 v/v). The absolute configuration of 5-[(1S)-2,2-dibromocyclopropyl]-2'-deoxyuridine (V), obtained by treatment of III with ammonia in methanol, was established by single crystal X-ray analysis. Treatment of IV with ammonia in methanol, to remove the benzoyl protecting groups, affords MW-60U.

参考文献No.97931
标题:Structure of 1-(2-deoxy-beta-D-ribofuranosyl)-5-[(1S)-2,2-dibromocyclopropyl]uracil
作者:Tandon, M.; Moore, S.; Knaus, E.; Wiebe, L.; Santarsiero, B.; Lin, T.; James, M.
来源:Acta Cryst Sect C 1989,45647
合成路线图解说明:

The reaction of 5-vinyl-2'-deoxyuridine (I) with benzoyl chloride in the presence of pyridine and diisopropylethylamine gives 3,3',5'-tribenzoyl-5-vinyl-2'-deoxyuridine (II). Subsequent reaction of (II) with phenyl(tribromomethyl)mercury in benzene at reflux yields a mixture of 5-[(1S)-2.2-dibromocyclopropyl]-3,3',5'-tribenzoyl-2'-deoxyuridine (III, m.p. 220 C) and 5-[(1R)-2,2-dibromocyclopropyl]-3,3',5'-tribenzoyl-2'-deoxyuridine (IV, m.p. 228 C) diastereomers which are separated by silica gel column chromatography (1:1 ratio) using a solvent gradient starting with toluene and ending with toluene: ethyl acetate (19:1 v/v). The absolute configuration of 5-[(1S)-2,2-dibromocyclopropyl]-2'-deoxyuridine (V), obtained by treatment of III with ammonia in methanol, was established by single crystal X-ray analysis. Treatment of IV with ammonia in methanol, to remove the benzoyl protecting groups, affords MW-60U.

参考文献No.97932
标题:Synthesis, separation and absolute configuration of the two 5-(2,2-dibromocyclopropyl) and four 5-(2-bromocyclopropyl)diastereomers of 2'-deoxyuridine
作者:Tandon, M.; Knaus, E.; Wiebe, L.
来源:Can J Chem 1989,671484
合成路线图解说明:

The reaction of 5-vinyl-2'-deoxyuridine (I) with benzoyl chloride in the presence of pyridine and diisopropylethylamine gives 3,3',5'-tribenzoyl-5-vinyl-2'-deoxyuridine (II). Subsequent reaction of (II) with phenyl(tribromomethyl)mercury in benzene at reflux yields a mixture of 5-[(1S)-2.2-dibromocyclopropyl]-3,3',5'-tribenzoyl-2'-deoxyuridine (III, m.p. 220 C) and 5-[(1R)-2,2-dibromocyclopropyl]-3,3',5'-tribenzoyl-2'-deoxyuridine (IV, m.p. 228 C) diastereomers which are separated by silica gel column chromatography (1:1 ratio) using a solvent gradient starting with toluene and ending with toluene: ethyl acetate (19:1 v/v). The absolute configuration of 5-[(1S)-2,2-dibromocyclopropyl]-2'-deoxyuridine (V), obtained by treatment of III with ammonia in methanol, was established by single crystal X-ray analysis. Treatment of IV with ammonia in methanol, to remove the benzoyl protecting groups, affords MW-60U.

参考文献No.109650
标题:MW-60U
作者:Knaus, E.E.; Wiebe, L.I.; Tandon, M.; Tyrrell, D.L.; Tovell, D.R.
来源:Drugs Fut 1989,14(12),1163
合成路线图解说明:

The reaction of 5-vinyl-2'-deoxyuridine (I) with benzoyl chloride in the presence of pyridine and diisopropylethylamine gives 3,3',5'-tribenzoyl-5-vinyl-2'-deoxyuridine (II). Subsequent reaction of (II) with phenyl(tribromomethyl)mercury in benzene at reflux yields a mixture of 5-[(1S)-2.2-dibromocyclopropyl]-3,3',5'-tribenzoyl-2'-deoxyuridine (III, m.p. 220 C) and 5-[(1R)-2,2-dibromocyclopropyl]-3,3',5'-tribenzoyl-2'-deoxyuridine (IV, m.p. 228 C) diastereomers which are separated by silica gel column chromatography (1:1 ratio) using a solvent gradient starting with toluene and ending with toluene: ethyl acetate (19:1 v/v). The absolute configuration of 5-[(1S)-2,2-dibromocyclopropyl]-2'-deoxyuridine (V), obtained by treatment of III with ammonia in methanol, was established by single crystal X-ray analysis. Treatment of IV with ammonia in methanol, to remove the benzoyl protecting groups, affords MW-60U.

Drug Information Express,Drug R&D,Chemical Database,Patent Search.
Copyright © 2006-2026 Drug Future. All rights reserved.Contact Us