【药物名称】Fasudil hydrochloride, AT-877, HA-1077, Fasdil, Eril
化学结构式(Chemical Structure):
参考文献No.109649
标题:HA 1077
作者:Ishida, T.; Asano, T.
来源:Drugs Fut 1989,14(12),1159
合成路线图解说明:

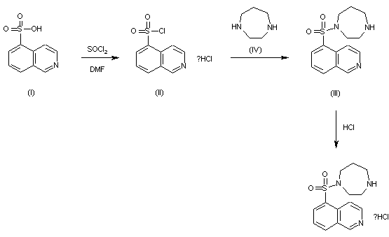
5-Isoquinolinesulfonic acid (I) is heated at 85 C with SOCl2 and DMF yielding 5-isoquinolinesulfonyl chloride hydrochloride (II). The reaction of (II) with hexahydro-1H-1,4-diazepine affords hexahydro-1-(5-isoquinolinesulfonyl)-1H-1,4-diazepine (III) in CH2Cl2. Finally, the reaction of (III) with HCl gives hexahydro-1-(5-isoquinolinesulfonyl)-1H-1,4-diazepine hydrochloride (IV). (scheme 10964901a)

Drug Information Express,Drug R&D,Chemical Database,Patent Search.
Copyright © 2006-2026 Drug Future. All rights reserved.Contact Us