【药物名称】Prednisolone farnesylate, PNF-21, Farnezone, Farnerate gel
化学结构式(Chemical Structure):
参考文献No.11124
标题:11beta,17alpha-Trihydroxy-1,4-pregnadiene-3,20-dione 21-[(E,E)-3,7,11-trimethyl-2,6,10-dodecatrienoate]
作者:Mizushima, Y.; Hoshi, K.; Igarashi, R.; Ajioka, H.; Yamamoto, N.; Komuro, M.; Kanehira, K.; Inoue, M.; Nishida, T.; Shiono, M.; Terasawa, M.; Arizono, K. (Kuraray Co., Ltd.; Taiho Pharmaceutical Co., Ltd.)
来源:EP 0332143; JP 1989316396; JP 1989316397; US 5278156
合成路线图解说明:

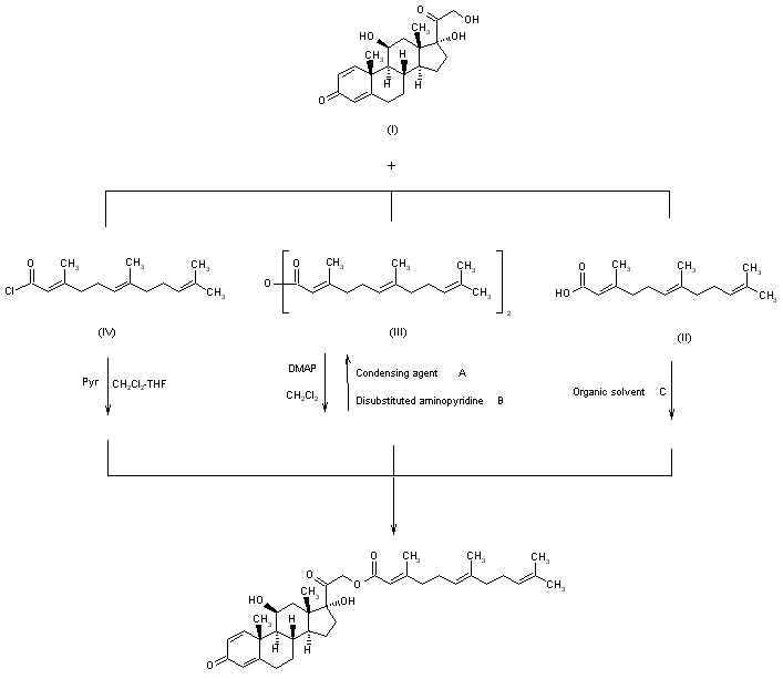
By reaction of prednisolone (11beta,12alpha-dihydroxypregna-1,4-diene-3,20-dione) (I) with either I) 2E,6E-farnesylic acid (3,7,11-trimethyl-2(E),6(E),10-dodecatrienoic acid (II) with a suitable condensing agent (e.g., DDC) and a disubstituted aminopyridine (e.g., DMAP) in an organic solvent (e.g., CH2Cl2), or II) 2E,6E-farnesylic anhydride (III) in the presence of DMAP in CH2Cl2, or with III) 2E,6E-farnesilyl chloride (IV) in the presence of pyridine in a mixture of CH2Cl2 and THF.

参考文献No.16691
标题:Anti-asthmatic agents
作者:Okada, M.; Kanehira, K. (Kuraray Co., Ltd.; Taiho Pharmaceutical Co., Ltd.)
来源:JP 1991223214
合成路线图解说明:

By reaction of prednisolone (11beta,12alpha-dihydroxypregna-1,4-diene-3,20-dione) (I) with either I) 2E,6E-farnesylic acid (3,7,11-trimethyl-2(E),6(E),10-dodecatrienoic acid (II) with a suitable condensing agent (e.g., DDC) and a disubstituted aminopyridine (e.g., DMAP) in an organic solvent (e.g., CH2Cl2), or II) 2E,6E-farnesylic anhydride (III) in the presence of DMAP in CH2Cl2, or with III) 2E,6E-farnesilyl chloride (IV) in the presence of pyridine in a mixture of CH2Cl2 and THF.

参考文献No.217618
标题:Prednisolone Farnesylate
作者:Casta馿r, J.; Graul, A.; Prous, J.
来源:Drugs Fut 1993,18(9),805
合成路线图解说明:

By reaction of prednisolone (11beta,12alpha-dihydroxypregna-1,4-diene-3,20-dione) (I) with either I) 2E,6E-farnesylic acid (3,7,11-trimethyl-2(E),6(E),10-dodecatrienoic acid (II) with a suitable condensing agent (e.g., DDC) and a disubstituted aminopyridine (e.g., DMAP) in an organic solvent (e.g., CH2Cl2), or II) 2E,6E-farnesylic anhydride (III) in the presence of DMAP in CH2Cl2, or with III) 2E,6E-farnesilyl chloride (IV) in the presence of pyridine in a mixture of CH2Cl2 and THF.

Drug Information Express,Drug R&D,Chemical Database,Patent Search.
Copyright © 2006-2026 Drug Future. All rights reserved.Contact Us