【药物名称】He-30582
化学结构式(Chemical Structure):
参考文献No.11470
标题:6-Oxo-pyridazinderivate, Verfahren zu ihrer Herstellung und diese Verbindungen enthaltende Arzneimittel
作者:Herter, R.; Engler, H.; Pfahlert, V.; Weidner, R.; Ahrens, K.H. (Heumann Pharma GmbH & Co.)
来源:DE 3814057
合成路线图解说明:

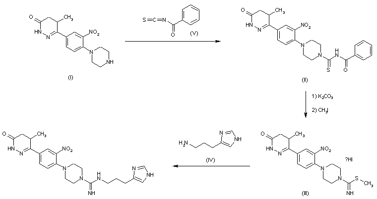
The acylation of 5-methyl-6-[3-nitro-4-(piperazin-1-yl)phenyl]-4,5-dihydro-3(2H)-pyridazinone (I) with benzoyl isothiocyanate gives the benzoylthiourea (II), which is cleaved by alkaline hydrolysis with potassium carbonate and methylated with methyl iodide to the isothiouronium salt (III). This compound is condensed with 3-(1H-imidazol-4-yl)propylamine (homohistamine, IV) to yield title compound.

参考文献No.109648
标题:HE 30582
作者:M鰎sdorf, P.; Engler, H.
来源:Drugs Fut 1989,14(12),1161
合成路线图解说明:

The acylation of 5-methyl-6-[3-nitro-4-(piperazin-1-yl)phenyl]-4,5-dihydro-3(2H)-pyridazinone (I) with benzoyl isothiocyanate gives the benzoylthiourea (II), which is cleaved by alkaline hydrolysis with potassium carbonate and methylated with methyl iodide to the isothiouronium salt (III). This compound is condensed with 3-(1H-imidazol-4-yl)propylamine (homohistamine, IV) to yield title compound.

Drug Information Express,Drug R&D,Chemical Database,Patent Search.
Copyright © 2006-2026 Drug Future. All rights reserved.Contact Us