【药物名称】Caracasanamide
化学结构式(Chemical Structure):
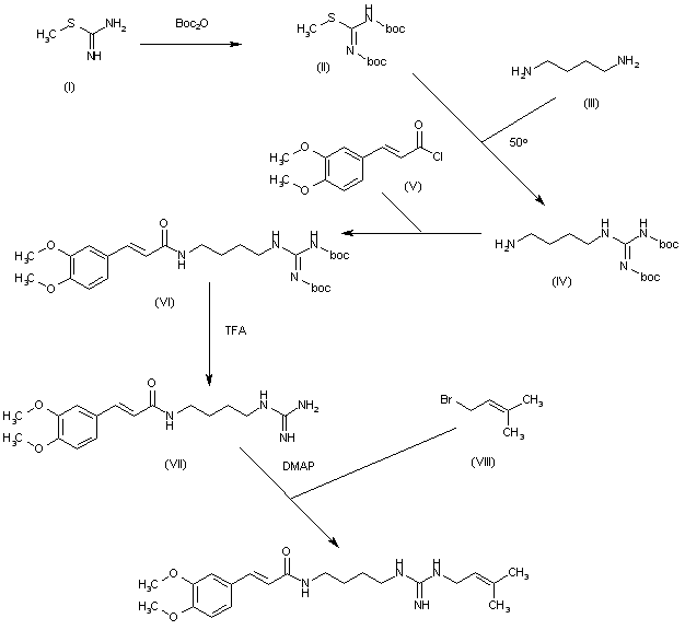
参考文献No.11050
标题:Guanidine derivs. having hypotensive activity, compsn. containing them, and process for obtaining them
作者:Delle Monache, G.; Delle Monache, F.; Botta, B.; Bonnevaux Castillo, S.; Espinal, R.; De Luca, C.; Carmignani, M. (Consiglio Nazionale delle Ricerche)
来源:EP 0330629; JP 1990003661; US 5059624
合成路线图解说明:

The reaction of S-methylisothiourea (I) with Boc2O by means of NaHCO3 gives the N-Boc protected isothiourea (II), which is condensed with 1,4-butanediamine (III) in hot THF to yield the guanidine derivative (IV). The acylation of the amino group of (IV) with 3,4-dimethoxycinnamoyl chloride (V) with THF/DMF affords the corresponding amide (VI), which is deprotected with TFA to provide N-(4-guanidinobutyl)-3,4-dimethoxycinnamamide (VII). Finally, the guanidino group of (VII) is alkylated with 3-methyl-2-butenyl bromide (VIII) catalyzed by DMAP in THF to provide the target, caracasanamide.

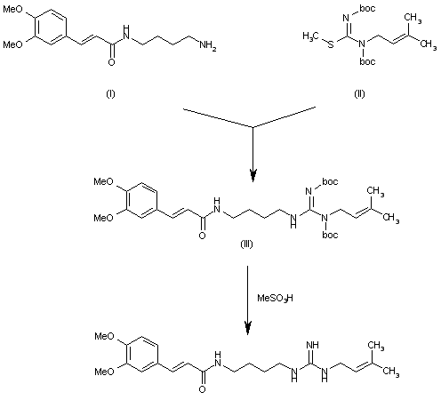
参考文献No.548045
标题:Caracasanamide, a novel hypotensive agent from verbesina caracasana
作者:Delle Monache, G.; et al.
来源:Bioorg Med Chem Lett 1992,2(5),415
合成路线图解说明:

The condensation of 3,4-dimethoxy-N-(4-aminobutyl)cinnamamide (I) with N,N'-bis(tert-butoxycarbonyl)-S-methyl-N-(3-methyl-2-butenyl)isothiourea (II) gives the protected target compound (III), which is finally deprotected by treatment with methanesulfonic acid.

Drug Information Express,Drug R&D,Chemical Database,Patent Search.
Copyright © 2006-2026 Drug Future. All rights reserved.Contact Us