【药物名称】L-654066, MK-963, MK-0963
化学结构式(Chemical Structure):
参考文献No.2729
标题:17beta-Substd.-4-aza-5alpha-androstenones and their use as 5alpha-reductase inhibitors
作者:Rasmusson, G.H.; Reynolds, G.F. (Merck & Co., Inc.)
来源:AU 8539167; EP 0155096; EP 0314199; ES 8702430; JP 1985222497; JP 1989093600; US 4760071
合成路线图解说明:

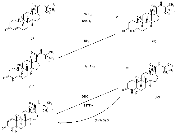
The oxidative cleavage of N-tert-butyl-3-oxo-5alpha-androst-4-ene-17beta-carboxamide (I) with NaIO4 and KMnO4 in tert butanol - aqueous Na2CO3 gives the seco-ketoacid (II), which is cyclized with liquid ammonia in ethylene glycol at 180 C to afford the DELTA5-azasteroid (III). Hydrogenation of (III) with H2 over PtO2 in acetic acid yields the corresponding saturated aza-steroid (IV), which is finally dehydrogenated with benzeneseleninic anhydride in refluxing chlorobenzene or with 2,3-dichloro-5,6-dicyanobenzoquinone (DDQ) and bis(trimethylsilyl)trifluoroacetamide (BSTFA) in refluxing dioxane.

合成路线图解说明:

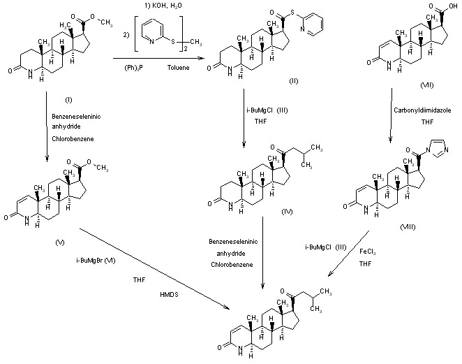
L-654066 has been obtained by three related ways: 1) Reaction of methyl (5alpha)-3-oxo-4-azaandrostene-17beta-carboxylate (I) with potassium hydroxide, followed by treatment with pyridyl disulfide, gives S-(2-pyridyl) (5alpha)-3-oxo-4-azaandrostene-17beta-thiocarboxylate (II). Compound (II) is reacted with isobutylmagnesium chloride (III) in THF to give (5alpha)-23-methyl-4-aza-21-norcholane-3,20-dione (IV), which is finally dehydrogenated using benzeneseleninic anhydride in chlorobenzene. 2) Compound (I) is converted to its dehydro analogue methyl (5alpha)-3-oxo-4-azaandrost-1-ene-17beta-carboxylate (V) with benzeneselenic anhydride, followed by reaction with isobutylmagnesium bromide (VI) in THF in the presence of hexamethyldisilazane. 3) Reaction of (5alpha)-3-oxo-4-azaandrost-1-ene-17beta-carboxylic acid (VII) with carbonyldiimidazole in THF gives 1-[[(5alpha,17beta)-3-oxo-4-azaandrost-1-en-17-yl]carbonyl]-1H-imidazole (VII), which is treated with isobutylmagnesium chloride (III) in THF in the presence of ferric chloride.

参考文献No.8506
标题:17beta-Acyl-4-aza-5alpha-androst-1-en-3-ones as 5alpha-reductase inhibitors
作者:Rasmusson, G.H.; Reynolds, G.F. (Merck & Co., Inc.)
来源:EP 0271219; JP 1988139196
合成路线图解说明:

L-654066 has been obtained by three related ways: 1) Reaction of methyl (5alpha)-3-oxo-4-azaandrostene-17beta-carboxylate (I) with potassium hydroxide, followed by treatment with pyridyl disulfide, gives S-(2-pyridyl) (5alpha)-3-oxo-4-azaandrostene-17beta-thiocarboxylate (II). Compound (II) is reacted with isobutylmagnesium chloride (III) in THF to give (5alpha)-23-methyl-4-aza-21-norcholane-3,20-dione (IV), which is finally dehydrogenated using benzeneseleninic anhydride in chlorobenzene. 2) Compound (I) is converted to its dehydro analogue methyl (5alpha)-3-oxo-4-azaandrost-1-ene-17beta-carboxylate (V) with benzeneselenic anhydride, followed by reaction with isobutylmagnesium bromide (VI) in THF in the presence of hexamethyldisilazane. 3) Reaction of (5alpha)-3-oxo-4-azaandrost-1-ene-17beta-carboxylic acid (VII) with carbonyldiimidazole in THF gives 1-[[(5alpha,17beta)-3-oxo-4-azaandrost-1-en-17-yl]carbonyl]-1H-imidazole (VII), which is treated with isobutylmagnesium chloride (III) in THF in the presence of ferric chloride.

参考文献No.19088
标题:Pharmaceutical combination for the treatment of prostatic hyperplasia, containing a 5alpha-reductase inhibitor and an antiandrogen
作者:Gormley, G.J.; Stoner, E. (Merck & Co., Inc.)
来源:JP 1994506227; WO 9216213
合成路线图解说明:

L-654066 has been obtained by three related ways: 1) Reaction of methyl (5alpha)-3-oxo-4-azaandrostene-17beta-carboxylate (I) with potassium hydroxide, followed by treatment with pyridyl disulfide, gives S-(2-pyridyl) (5alpha)-3-oxo-4-azaandrostene-17beta-thiocarboxylate (II). Compound (II) is reacted with isobutylmagnesium chloride (III) in THF to give (5alpha)-23-methyl-4-aza-21-norcholane-3,20-dione (IV), which is finally dehydrogenated using benzeneseleninic anhydride in chlorobenzene. 2) Compound (I) is converted to its dehydro analogue methyl (5alpha)-3-oxo-4-azaandrost-1-ene-17beta-carboxylate (V) with benzeneselenic anhydride, followed by reaction with isobutylmagnesium bromide (VI) in THF in the presence of hexamethyldisilazane. 3) Reaction of (5alpha)-3-oxo-4-azaandrost-1-ene-17beta-carboxylic acid (VII) with carbonyldiimidazole in THF gives 1-[[(5alpha,17beta)-3-oxo-4-azaandrost-1-en-17-yl]carbonyl]-1H-imidazole (VII), which is treated with isobutylmagnesium chloride (III) in THF in the presence of ferric chloride.

参考文献No.20378
标题:Process for making 17-beta alkanoyl 3-oxo-4-aza-5-alpha-androst-1-enes
作者:Williams, J.M. (Merck & Co., Inc.)
来源:US 5061803
合成路线图解说明:

L-654066 has been obtained by three related ways: 1) Reaction of methyl (5alpha)-3-oxo-4-azaandrostene-17beta-carboxylate (I) with potassium hydroxide, followed by treatment with pyridyl disulfide, gives S-(2-pyridyl) (5alpha)-3-oxo-4-azaandrostene-17beta-thiocarboxylate (II). Compound (II) is reacted with isobutylmagnesium chloride (III) in THF to give (5alpha)-23-methyl-4-aza-21-norcholane-3,20-dione (IV), which is finally dehydrogenated using benzeneseleninic anhydride in chlorobenzene. 2) Compound (I) is converted to its dehydro analogue methyl (5alpha)-3-oxo-4-azaandrost-1-ene-17beta-carboxylate (V) with benzeneselenic anhydride, followed by reaction with isobutylmagnesium bromide (VI) in THF in the presence of hexamethyldisilazane. 3) Reaction of (5alpha)-3-oxo-4-azaandrost-1-ene-17beta-carboxylic acid (VII) with carbonyldiimidazole in THF gives 1-[[(5alpha,17beta)-3-oxo-4-azaandrost-1-en-17-yl]carbonyl]-1H-imidazole (VII), which is treated with isobutylmagnesium chloride (III) in THF in the presence of ferric chloride.

参考文献No.20379
标题:Methods of synthesizing benign prostatic hypertropic agents and their intermediates
作者:Bhattacharya, A.; Dolling, U.H.; Amato, J.S.; Williams, J.M. (Merck & Co., Inc.)
来源:EP 0367502
合成路线图解说明:

L-654066 has been obtained by three related ways: 1) Reaction of methyl (5alpha)-3-oxo-4-azaandrostene-17beta-carboxylate (I) with potassium hydroxide, followed by treatment with pyridyl disulfide, gives S-(2-pyridyl) (5alpha)-3-oxo-4-azaandrostene-17beta-thiocarboxylate (II). Compound (II) is reacted with isobutylmagnesium chloride (III) in THF to give (5alpha)-23-methyl-4-aza-21-norcholane-3,20-dione (IV), which is finally dehydrogenated using benzeneseleninic anhydride in chlorobenzene. 2) Compound (I) is converted to its dehydro analogue methyl (5alpha)-3-oxo-4-azaandrost-1-ene-17beta-carboxylate (V) with benzeneselenic anhydride, followed by reaction with isobutylmagnesium bromide (VI) in THF in the presence of hexamethyldisilazane. 3) Reaction of (5alpha)-3-oxo-4-azaandrost-1-ene-17beta-carboxylic acid (VII) with carbonyldiimidazole in THF gives 1-[[(5alpha,17beta)-3-oxo-4-azaandrost-1-en-17-yl]carbonyl]-1H-imidazole (VII), which is treated with isobutylmagnesium chloride (III) in THF in the presence of ferric chloride.

参考文献No.89229
标题:Azasteroids: structure-activity relationships for inhibition of 5 alpha-reductase and of androgen receptor binding
作者:Cheung, A.H.; Reynolds, G.F.; Steinberg, N.G.; Berman, C.; Patel, G.F.; Liang, T.; Cascieri, M.A.; Brooks, J.R.; Walton, E.; Rasmusson, G.H.
来源:J Med Chem 1986,29(11),2298
合成路线图解说明:

The oxidative cleavage of N-tert-butyl-3-oxo-5alpha-androst-4-ene-17beta-carboxamide (I) with NaIO4 and KMnO4 in tert butanol - aqueous Na2CO3 gives the seco-ketoacid (II), which is cyclized with liquid ammonia in ethylene glycol at 180 C to afford the DELTA5-azasteroid (III). Hydrogenation of (III) with H2 over PtO2 in acetic acid yields the corresponding saturated aza-steroid (IV), which is finally dehydrogenated with benzeneseleninic anhydride in refluxing chlorobenzene or with 2,3-dichloro-5,6-dicyanobenzoquinone (DDQ) and bis(trimethylsilyl)trifluoroacetamide (BSTFA) in refluxing dioxane.

合成路线图解说明:

L-654066 has been obtained by three related ways: 1) Reaction of methyl (5alpha)-3-oxo-4-azaandrostene-17beta-carboxylate (I) with potassium hydroxide, followed by treatment with pyridyl disulfide, gives S-(2-pyridyl) (5alpha)-3-oxo-4-azaandrostene-17beta-thiocarboxylate (II). Compound (II) is reacted with isobutylmagnesium chloride (III) in THF to give (5alpha)-23-methyl-4-aza-21-norcholane-3,20-dione (IV), which is finally dehydrogenated using benzeneseleninic anhydride in chlorobenzene. 2) Compound (I) is converted to its dehydro analogue methyl (5alpha)-3-oxo-4-azaandrost-1-ene-17beta-carboxylate (V) with benzeneselenic anhydride, followed by reaction with isobutylmagnesium bromide (VI) in THF in the presence of hexamethyldisilazane. 3) Reaction of (5alpha)-3-oxo-4-azaandrost-1-ene-17beta-carboxylic acid (VII) with carbonyldiimidazole in THF gives 1-[[(5alpha,17beta)-3-oxo-4-azaandrost-1-en-17-yl]carbonyl]-1H-imidazole (VII), which is treated with isobutylmagnesium chloride (III) in THF in the presence of ferric chloride.

合成路线图解说明:

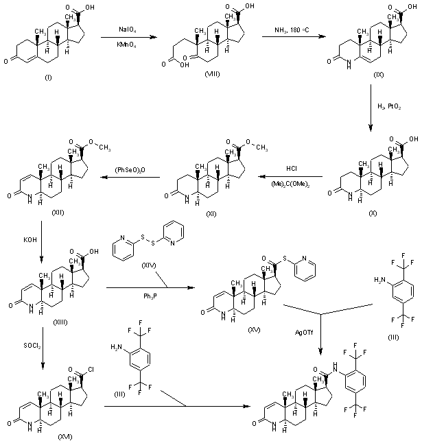
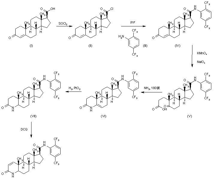
1) The reaction of 3-oxo-4-androstene-17beta-carboxylic acid (I) with SOCl2/pyridine in THF gives the acyl chloride (II), which is condensed with 2,5-bis(trifluoromethyl)aniline (III) by means of pyridine in refluxing THF, yielding amide (IV). The oxidation of (IV) with KMnO4/NaIO4/Na2CO3 in refluxing tert-butanol/water affords the seco-steroid (V), which is cyclized with NH3 in ethylene glycol at 180 C to give the 5-unsaturated azasteroid (VI). The hydrogenation of (VI) with H2 over PtO2 in acetic acid yields the saturated azasteroid (VII), which is finally dehydrogenated by means of 2,3-dichloro-5,6-dicyanobenzoquinone (DCQ)/bis(trimethylsilyl)trifluoroacetamide in dioxane.

合成路线图解说明:

2) The oxidation of 3-oxo-4-androstene-17beta-carboxylic acid (I) with KMnO4/NaIO4/Na2CO3 in refluxing tert-butanol/water affords the seco-steroid (VIII), which is cyclized with NH3 in ethylene glycol at 180 C, giving the 5-unsaturated steroid (IX). The hydrogenation of (IX) with H2 over PtO2 in acetic acid yields the saturated azasteroid (X), which is esterified with 2,2-dimethoxypropane/HCl in methanol to afford the corresponding methyl ester (XI). The dehydrogenation of (XI) with phenylseleninic anhydride in refluxing chlorobenzene gives the 1-unsaturated azasteroid (XII), which is hydrolyzed with KOH in refluxing methanol/water to yield the corresponding unsaturated free acid (XIII). The esterification of (XIII) with 2,2'-dipyridyl disulfide (XIV) by means of triphenylphosphine in toluene affords the 2-pyridyl thioester (XV), which is finally amidated with 2,5-bis(trifluoromethyl)aniline (III) by means of silver trifluomethanesulfonate in dichloromethane. 3) The previously obtained unsaturated free acid (XIII) can also be treated with SOCl2 in pyridine to give the corresponding acyl chloride (XVI), which is then condensed directly with 2,5-bis(trifluoromethyl)aniline (III) in pyridine.

参考文献No.206624
标题:Acylimidazolides as versatile synthetic intermediates for the preparation of sterically congested amides and ketones: A practical synthesis of Proscar(R)
作者:Bhattacharya, A.; Williams, J.M.; Amato, J.S.; Dolling, U.-H.; Grabowski, E.J.J.
来源:Synth Commun 1990,30(17),2683
合成路线图解说明:

L-654066 has been obtained by three related ways: 1) Reaction of methyl (5alpha)-3-oxo-4-azaandrostene-17beta-carboxylate (I) with potassium hydroxide, followed by treatment with pyridyl disulfide, gives S-(2-pyridyl) (5alpha)-3-oxo-4-azaandrostene-17beta-thiocarboxylate (II). Compound (II) is reacted with isobutylmagnesium chloride (III) in THF to give (5alpha)-23-methyl-4-aza-21-norcholane-3,20-dione (IV), which is finally dehydrogenated using benzeneseleninic anhydride in chlorobenzene. 2) Compound (I) is converted to its dehydro analogue methyl (5alpha)-3-oxo-4-azaandrost-1-ene-17beta-carboxylate (V) with benzeneselenic anhydride, followed by reaction with isobutylmagnesium bromide (VI) in THF in the presence of hexamethyldisilazane. 3) Reaction of (5alpha)-3-oxo-4-azaandrost-1-ene-17beta-carboxylic acid (VII) with carbonyldiimidazole in THF gives 1-[[(5alpha,17beta)-3-oxo-4-azaandrost-1-en-17-yl]carbonyl]-1H-imidazole (VII), which is treated with isobutylmagnesium chloride (III) in THF in the presence of ferric chloride.

参考文献No.214073
标题:L-654066
作者:Prous, J.; Mealy, N.; Casta馿r, J.
来源:Drugs Fut 1993,18(8),701
合成路线图解说明:

L-654066 has been obtained by three related ways: 1) Reaction of methyl (5alpha)-3-oxo-4-azaandrostene-17beta-carboxylate (I) with potassium hydroxide, followed by treatment with pyridyl disulfide, gives S-(2-pyridyl) (5alpha)-3-oxo-4-azaandrostene-17beta-thiocarboxylate (II). Compound (II) is reacted with isobutylmagnesium chloride (III) in THF to give (5alpha)-23-methyl-4-aza-21-norcholane-3,20-dione (IV), which is finally dehydrogenated using benzeneseleninic anhydride in chlorobenzene. 2) Compound (I) is converted to its dehydro analogue methyl (5alpha)-3-oxo-4-azaandrost-1-ene-17beta-carboxylate (V) with benzeneselenic anhydride, followed by reaction with isobutylmagnesium bromide (VI) in THF in the presence of hexamethyldisilazane. 3) Reaction of (5alpha)-3-oxo-4-azaandrost-1-ene-17beta-carboxylic acid (VII) with carbonyldiimidazole in THF gives 1-[[(5alpha,17beta)-3-oxo-4-azaandrost-1-en-17-yl]carbonyl]-1H-imidazole (VII), which is treated with isobutylmagnesium chloride (III) in THF in the presence of ferric chloride.

Drug Information Express,Drug R&D,Chemical Database,Patent Search.
Copyright © 2006-2026 Drug Future. All rights reserved.Contact Us