【药物名称】Cefcamate pivoxil hydrochloride, Cefcapene pivoxil hydrochloride, S-1108, Flomox, Flumax
化学结构式(Chemical Structure):
参考文献No.5245
标题:Alkenamidocephalosporin esters
作者:Hamashima, Y.; Ishikura, K.; Minami, K.; Kubota, T.; Yoshida, T. (Shionogi & Co. Ltd.)
来源:BE 0904517; CH 669600; DE 3610581; ES 8800237; ES 8801922; FR 2579597; GB 2173194; JP 1987000089; US 4731361
合成路线图解说明:

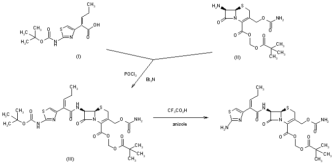
The condensation of 2(Z)-[2-(tert-butoxycarbonylamino)thiazol-4-yl]-2-pentenoic acid (I) with 7-amino-3-(carbamoyloxymethyl)-3-cephem-4-carboxylic acid pivaloylmethyl ester (II) by means of POCl3 and triethylamine (or oxalyl chloride and picoline) gives the corresponding amide (III), which is then deprotected with trifluoroacetic acid and anisole in dichloromethane.

参考文献No.180561
标题:S-1108
作者:Prous, J.; Casta馿r, J.
来源:Drugs Fut 1992,17(8),687
合成路线图解说明:

The condensation of 2(Z)-[2-(tert-butoxycarbonylamino)thiazol-4-yl]-2-pentenoic acid (I) with 7-amino-3-(carbamoyloxymethyl)-3-cephem-4-carboxylic acid pivaloylmethyl ester (II) by means of POCl3 and triethylamine (or oxalyl chloride and picoline) gives the corresponding amide (III), which is then deprotected with trifluoroacetic acid and anisole in dichloromethane.

Drug Information Express,Drug R&D,Chemical Database,Patent Search.
Copyright © 2006-2026 Drug Future. All rights reserved.Contact Us