【药物名称】KP-736
化学结构式(Chemical Structure):
参考文献No.7486
标题:Cephalosporin cpds., processes for their preparation and antibacterial agents
作者:Zama, Y.; Ishiyama, N.; Saita, T.; Naito, T.; Hirose, M.; Yokoyama, M.; Asano, T.; Senda, H.; Sekine, H.; Sanai, S. (Kaken Pharmaceutical Co., Ltd.)
来源:EP 0251299; JP 1988146887; JP 1988152386; JP 1990288884; US 4822786; US 4883879
合成路线图解说明:

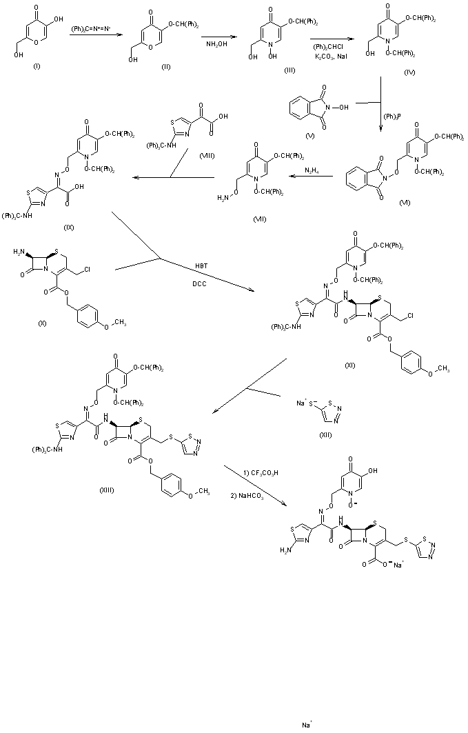
The alkylation of 5-hydroxy-2-(hydroxymethyl)-4-pyrone (I) with diphenyldiazomethane in ethanol gives 5-(diphenylmethoxy)-2-(hydroxymethyl)-4-pyrone (II), which is treated with hydroxylamine in hot ethanol - water to afford 5-(diphenylmethoxy)-1-hydroxy-2-(hydroxymethyl)-4-pyridone (III). The alkylation of (III) with diphenylmethyl chloride, K2CO3 and NaI in DMSO yields 1,5-bis(diphenylmethoxy)-2-(hydroxymethyl)-4-pyridone (IV), which is condensed with N-hydroxyphthalimide (V) by means of triphenylphosphine in THF to give 1,5-bis(diphenylmethoxy)-2-(phthalimidooxymethyl)-4-pyridone (VI). The reaction of (VI) with hydrazine in ethanol affords the corresponding aminooxy derivative (VII), which is condensed with 2-[2-(triphenylmethylamino)thiazol-4-yl]glyoxylic acid (VIII) in CHCl3 - ethanol to yield 2(Z)-[1,5-bis(diphenylmethoxy)-4-oxo-1,4-dihydropyridin-2-ylmethoxyimino]-2-[2-(triphenylmethylamino)thiazol-4-yl]acetic acid (IX). The condensation of (IX) with (6R,7R)-7-amino-3-(chloromethyl)-3-cephem-4-carboxylic acid 4-methoxybenzyl ester (X) by means of NaHCO3, 1-hydroxybenzotriazole (HBT) and dicyclohexylcarbodiimide (DDC) in ethyl acetate - water gives the corresponding 7-acetamide derivative (XI), which by a new condensation with sodium 1,2,3-thiadiazole-5-thiolate (XII) in DMF - ethanol affords the fully protected final product (XIII). Finally, this compound is deprotected by a treatment with trifluoroacetic acid and anisole, the sodium salt being obtained by treatment with HaHCO3 in water.

参考文献No.110104
标题:KP-736
作者:Prous, J.; Casta馿r, J.
来源:Drugs Fut 1990,15(5),457
合成路线图解说明:

The alkylation of 5-hydroxy-2-(hydroxymethyl)-4-pyrone (I) with diphenyldiazomethane in ethanol gives 5-(diphenylmethoxy)-2-(hydroxymethyl)-4-pyrone (II), which is treated with hydroxylamine in hot ethanol - water to afford 5-(diphenylmethoxy)-1-hydroxy-2-(hydroxymethyl)-4-pyridone (III). The alkylation of (III) with diphenylmethyl chloride, K2CO3 and NaI in DMSO yields 1,5-bis(diphenylmethoxy)-2-(hydroxymethyl)-4-pyridone (IV), which is condensed with N-hydroxyphthalimide (V) by means of triphenylphosphine in THF to give 1,5-bis(diphenylmethoxy)-2-(phthalimidooxymethyl)-4-pyridone (VI). The reaction of (VI) with hydrazine in ethanol affords the corresponding aminooxy derivative (VII), which is condensed with 2-[2-(triphenylmethylamino)thiazol-4-yl]glyoxylic acid (VIII) in CHCl3 - ethanol to yield 2(Z)-[1,5-bis(diphenylmethoxy)-4-oxo-1,4-dihydropyridin-2-ylmethoxyimino]-2-[2-(triphenylmethylamino)thiazol-4-yl]acetic acid (IX). The condensation of (IX) with (6R,7R)-7-amino-3-(chloromethyl)-3-cephem-4-carboxylic acid 4-methoxybenzyl ester (X) by means of NaHCO3, 1-hydroxybenzotriazole (HBT) and dicyclohexylcarbodiimide (DDC) in ethyl acetate - water gives the corresponding 7-acetamide derivative (XI), which by a new condensation with sodium 1,2,3-thiadiazole-5-thiolate (XII) in DMF - ethanol affords the fully protected final product (XIII). Finally, this compound is deprotected by a treatment with trifluoroacetic acid and anisole, the sodium salt being obtained by treatment with HaHCO3 in water.

Drug Information Express,Drug R&D,Chemical Database,Patent Search.
Copyright © 2006-2026 Drug Future. All rights reserved.Contact Us