【药物名称】BXL-353, ILX-23-7553, Ro-23-7553
化学结构式(Chemical Structure):
参考文献No.10859
标题:Dehydrocholecalciferol derivs.
作者:Baggiolini, E.G.; Hennessy, B.M.; Shiuey, S.-J.; Truitt, G.A.; Uskokovic, M.R. (F. Hoffmann-La Roche AG)
来源:AU 8928644; EP 0325279; JP 1990009861; US 5087619
合成路线图解说明:

The tosylation of the primary alcohol of the hexahydroindenepropanol (I) with TsCl in pyridine gives the tosylate (II), which is treated with NaCN in DMSO to yield the butyronitrile (II). The reduction of (III) with diisobutylaluminum hydride in dichloromethane affords the butyraldehyde (IV), which is condensed with CBr4 by means of Zn in dichloromethane providing the 1,1-dibromo-1-pentene derivative (V). The dehydrobromination of (V) with n-BuLi in THF/hexane affords the 1-pentyne derivative (VI), which is treated with 1-(trimethylsilyl)imidazole to give the silyl ether (VII). The condensation of (VII) with acetone by means of n-BuLi in THF yields the 3-heptyn-2-ol derivative (VIII), which is desilylated with TBAF in THF affording the diol (IX). The oxidation of the secondary alcohol of (IX) with bipyridinium chlorochromate (BPCC) in dichloromethane provides the corresponding ketone (X), which is protected at the tertiary alcohol with 1-(trimethylsilyl)imidazole giving the silylated ketone (XI). The condensation of (XI) with the phosphorane (XII) by means of n-BuLi in THF yields the protected intermediate (XIII), which is finally deprotected with TBAF in THF.

参考文献No.564756
标题:Selective palladium-catalyzed hydrogenolysis of a secondary propargylic alcohol in the synthesis of vitamin D analog Ro 23-7553: Substrate and ligand control
作者:Radinov, R.; Hutchings, S.D.
来源:Tetrahedron Lett 1999,40(51),8955
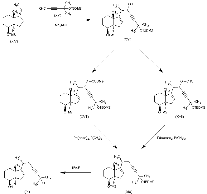
合成路线图解说明:

Alternatively, the intermediate diol (IX) has been obtained as follows: The condensation of perhydroindene derivative (XIV) with the acetylenic aldehyde (XV) by means of Me3AlCl gives the acetylenic alcohol (XVI), which is esterified to the formate (XVII) or the carbonate (XVIII). The deoxygenation of (XVII) or (XVIII) by means of Pd(acac)2 and P(CH3)3 in hot toluene affords the silylated diol (XIX), which is submitted to desilylation with TBAF to afford the target diol intermediate (IX).

Drug Information Express,Drug R&D,Chemical Database,Patent Search.
Copyright © 2006-2026 Drug Future. All rights reserved.Contact Us