【药物名称】E-6080
化学结构式(Chemical Structure):
参考文献No.9538
标题:Benzothiazole deriv., its use, and pharmaceutical compsns. comprising it
作者:Abe, S.; Miyamoto, M.; Tanaka, M.; Akasaka, K.; Hayashi, K.; Kawahara, T.; Katayama, T.; Sakuma, Y.; Suzuki, T.; Yamatsu, I. (Eisai Co., Ltd.)
来源:EP 0295656; US 4929623
合成路线图解说明:

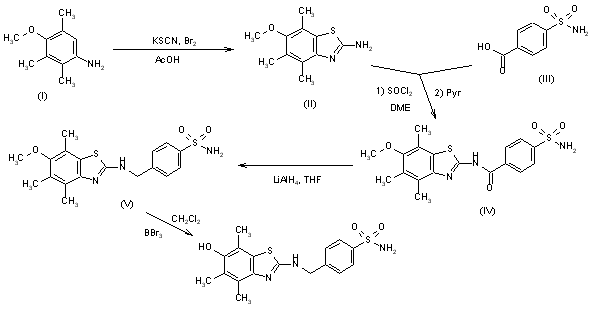
Reaction of 1-amino-4-methoxy-2,3,5-trimethylbenzene (I) with potassium thiocyanate and bromine in acetic acid gives 2-amino-6-methoxy-4,5,7-trimethylbenzothiazole (II), which is treated with 4-sulfamoylbenzoyl chloride [formed in situ from 4-sulfamoyl benzoic acid (III) and SOCl2], to afford 4-[N-(6-methoxy-4,5,7-trimethylbenzothiazol-2-yl)carbamoyl] benzenesulfonamide (IV). Compound (IV) is reduced with lithium aluminum hydride in tetrahydrofuran to yield 4-(6-methoxy-4,5,7-trimethylbenzothiazol-2-ylaminomethyl) benzenesulfonamide (V), which is finally demethylated with boron tribromide in methylene chloride.

参考文献No.226915
标题:E-6080
作者:Casta馿r, J.; Prous, J.; Mealy, N.
来源:Drugs Fut 1993,18(11),991
合成路线图解说明:

Reaction of 1-amino-4-methoxy-2,3,5-trimethylbenzene (I) with potassium thiocyanate and bromine in acetic acid gives 2-amino-6-methoxy-4,5,7-trimethylbenzothiazole (II), which is treated with 4-sulfamoylbenzoyl chloride [formed in situ from 4-sulfamoyl benzoic acid (III) and SOCl2], to afford 4-[N-(6-methoxy-4,5,7-trimethylbenzothiazol-2-yl)carbamoyl] benzenesulfonamide (IV). Compound (IV) is reduced with lithium aluminum hydride in tetrahydrofuran to yield 4-(6-methoxy-4,5,7-trimethylbenzothiazol-2-ylaminomethyl) benzenesulfonamide (V), which is finally demethylated with boron tribromide in methylene chloride.

Drug Information Express,Drug R&D,Chemical Database,Patent Search.
Copyright © 2006-2026 Drug Future. All rights reserved.Contact Us