【药物名称】
化学结构式(Chemical Structure):
参考文献No.
800435
标题:
Antitumor activity of platinum complexes of 1,2-diaminocyclohexane isomers
作者:
Speer, R.J.; et al.
来源:
J Clin Hematol Oncol 1978,8(2),44-50
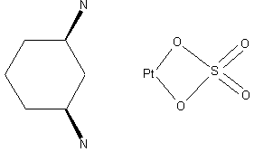
合成路线图解说明:
By condensation of trans-(-)-1,2-diaminocyclohexane (I) with platinum (II) sulfate (II).
参考文献No.
800436
标题:
Antitumor activity of water-soluble platinum (II) complexes of 1,2-cyclohexanediamine isomers
作者:
Kidani, Y.; et al.
来源:
Gann 1978,69(5),263-265
合成路线图解说明:
By condensation of trans-(-)-1,2-diaminocyclohexane (I) with platinum (II) sulfate (II).
参考文献No.
800437
标题:
NEO-SHP
作者:
Lynch, F.B.; Casta馿r, J.; Serradell, M.N.; Blancafort, P.
来源:
Drugs Fut 1981,6(2),96
合成路线图解说明:
By condensation of trans-(-)-1,2-diaminocyclohexane (I) with platinum (II) sulfate (II).
Drug Information Express,Drug R&D,Chemical Database,Patent Search.
Copyright © 2006-2026
Drug Future
. All rights reserved.
Contact Us