【药物名称】GR-79236
化学结构式(Chemical Structure):
参考文献No.10794
标题:Adenosine derivs.
作者:Evans, B. (Glaxo Wellcome plc)
来源:AU 8827401; BE 1002167; CH 677495; DE 3843609; EP 0322242; FR 2663936; US 5032583
合成路线图解说明:

This compound has been obtained by two similar ways: 1) By condensation of the chloropurine (I) with (1S-trans)-2-aminocyclopentanol (1S-trans)-(II) by means of DEA in refluxing isopropanol. 2) The condensation of chloropurine (I) with (rac-trans)-2-aminocyclopentanol (rac-trans)-(II) (obtained by reaction of cyclopentene oxide (III) with ammonia) give a diastereomeric mixture, from which the target compound can be isolated by flash chromatography.

参考文献No.34019
标题:Purine derivs.
作者:Knutsen, L.J.S.; Lau, J. (Novo Nordisk A/S)
来源:US 5672588
合成路线图解说明:

This compound has been obtained by two similar ways: 1) By condensation of the chloropurine (I) with (1S-trans)-2-aminocyclopentanol (1S-trans)-(II) by means of DEA in refluxing isopropanol. 2) The condensation of chloropurine (I) with (rac-trans)-2-aminocyclopentanol (rac-trans)-(II) (obtained by reaction of cyclopentene oxide (III) with ammonia) give a diastereomeric mixture, from which the target compound can be isolated by flash chromatography.

参考文献No.564593
标题:Synthesis of isotopically labelled versions of adenosine agonist GR79236
作者:Wadsworth, A.H.; et al.
来源:J Label Compd Radiopharm 2000,43(1),11
合成路线图解说明:

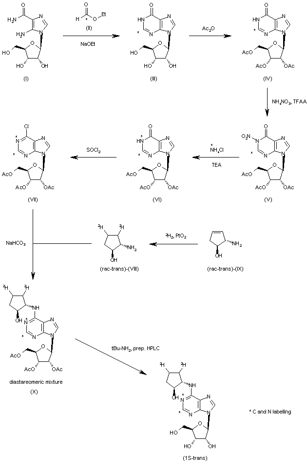
The cyclization of the imidazolyl riboside (I) with [13C]-formic acid ethyl ester (II) by means of sodium ethoxide in refluxing ethanol gives labeled inosine (III), which is acetylated with Ac2O and pyridine yielding the triacetate (IV). The nitration of (IV) with ammonium nitrate and trifluoroacetic anhydride affords the 1-nitroinosine (V), which is rearranged with 15NH4Cl in acetonitrile/water to provide the doubly labeled inosine (VI). The reaction of (VI) with SOCl2 gives the chloropurine (VII), which is condensed with the dideuterated 2-aminocyclopentanol (rac-trans)-(VIII) (obtained by hydrogenation of the unsaturated analogue (rac-trans)-(IX)) by means of NaHCO3 in isopropanol providing a diastereomeric mixture (X). The deacetylation of (X) with tert-butylamine in methanol furnishes a mixture of the target compound along with its diastereomer, which is separated by preparative HPLC.

合成路线图解说明:

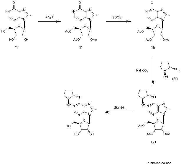
The commercially available 8-[14C]-inosine (I) with Ac2O in hot pyridine gives the triacetate (II), which is treated with SOCl2 and DMF in dichloromethane yielding the chloropurine (III). The condensation of (III) with (1S-trans)-2-aminocyclopentanol by means of NaHCO3 in hot isopropanol affords the acetylated target compound (V), which is finally deacetylated with t-Bu-NH2 in methanol.

合成路线图解说明:

The condensation of the ribosyl chloropurine (I) with (rac-trans)-2-amino-3-cyclopentenol (II) by means of NaHCO3 in isopropanol gives a diastereomeric mixture of adenosine derivatives (III) + (IV) that is separated by HPLC. The desired isomer (III) is acetylated with Ac2O and pyridine yielding the tetraacetate (V), which is hydrogenated with tritium over Pt in THF to afford the tetraacetate (VI) of the target compound. Finally, (VI) is deacetylated by means of t-BuNH2 in methanol.

Drug Information Express,Drug R&D,Chemical Database,Patent Search.
Copyright © 2006-2026 Drug Future. All rights reserved.Contact Us