【药物名称】
化学结构式(Chemical Structure):
参考文献No.10855
标题:Aromatic esters and thioesters, process for their preparation and their use in human or animal therapeutics and in cosmetics
作者:Shroot, B.; Eustache, J.; Bernardon, J.-M. (CIRD Galderma)
来源:AU 8928608; EP 0325540
合成路线图解说明:

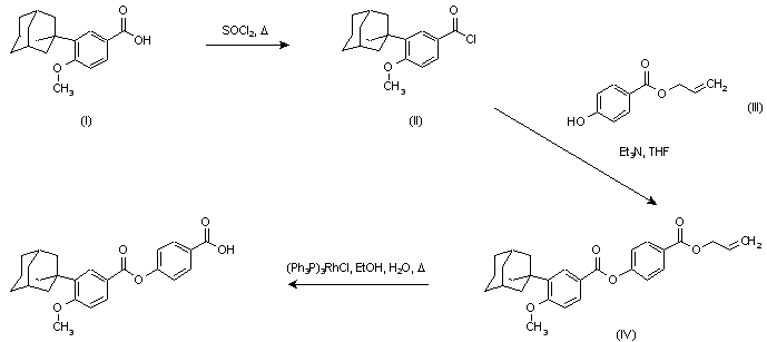
Adamantylbenzoic acid (I) was converted to acid chloride (II) on treatment with SOCl2, and subsequently condensed with allyl p-hydroxybenzoate (III) in the presence of Et3N to afford the benzoyloxybenzoic ester (IV). The allyl ester was then cleaved by refluxing in aqueous ethanol in the presence of tris(triphenylphosphine)rhodium chloride to yield the title compound.

参考文献No.37753
标题:Aromatic esters and thioesters, a process for their preparation and their use in human or veterinary medicine and in cosmetic compsns.
作者:Eustache, J.; Bernardon, J.-M.; Shroot, B. (CIRD Galderma)
来源:US 5173289
合成路线图解说明:

Adamantylbenzoic acid (I) was converted to acid chloride (II) on treatment with SOCl2, and subsequently condensed with allyl p-hydroxybenzoate (III) in the presence of Et3N to afford the benzoyloxybenzoic ester (IV). The allyl ester was then cleaved by refluxing in aqueous ethanol in the presence of tris(triphenylphosphine)rhodium chloride to yield the title compound.

Drug Information Express,Drug R&D,Chemical Database,Patent Search.
Copyright © 2006-2026 Drug Future. All rights reserved.Contact Us