【药物名称】YM-796
化学结构式(Chemical Structure):
参考文献No.10137
标题:Heterocyclic spiro cpds. and their preparation
作者:Tsukamoto, S.-I.; Nagaoka, H.; Usuda, S.; Harada, M.; Tamura, T. (Yamanouchi Pharmaceutical Co., Ltd.)
来源:AU 8823449; EP 0311313; JP 1990036183; US 4996210
合成路线图解说明:

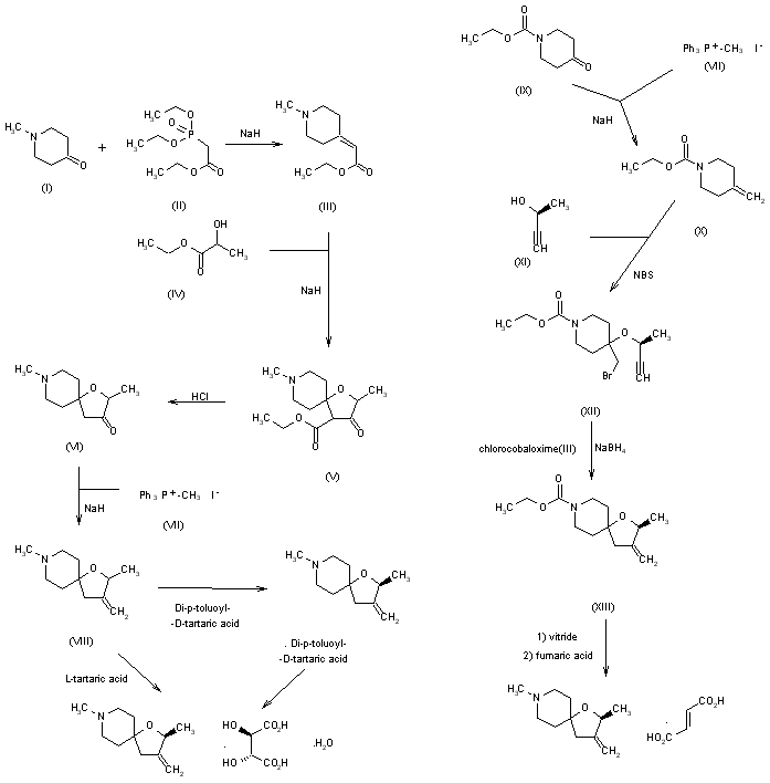
YM-796 can be obtained by two different ways: 1) The Wittig condensation of 1-methylpiperidin-4-one (I) with 2-(diethoxyphosphoryl)acetic acid ethyl ester (II) by means of NaH in dimethoxyethane gives 2-(1-methylpiperidin-4-ylidene) acetic acid ethyl ester (III), which is cyclized with ethyl lactate (IV) by means of NaH in DMSO yielding 2,8-dimethyl-3-oxo-1-oxa-8-azaspiro[4.5]decane-4-carboxylic acid ethyl ester (V). The decarboxylation of (V) with refluxing aqueous 1N HCl affords 2,8-dimethyl-1-oxa-8-azaspiro[4.5]decan-3-one (VI), which is submitted to a new Wittig condensation with methyltriphenylphosphonium iodide (or bromide) (VII) by means of NaH in DMSO to give racemic 2,8-dimethyl-3-methylene-1-oxa-8-azaspiro[4.5]decane (VIII). Finally, this compound is submitted to optical resolution with L-tartaric acid or with di-p-toluoyl-D-tartaric acid. 2) The Wittig condensation of 4-oxopiperidine-1-carboxylic acid ethyl ester (IX) with phosphorane (VII) as before gives the corresponding methylene derivative (X), which is submitted to alkoxybromination with N-bromosuccinimide (NBS) and (S)-3-butyn-2-ol (XI) yielding (S)-4-(bromomethyl)-4-(1-methyl-2-propynyloxy)piperidine-1-carboxylic acid ethyl ester (XII). The radical cyclization of (XII) with NaBH4 catalyzed by bis(dimethylglyoximato)(pyridine)cobalt(III) chloride [chlorocobaloxime(III)] affords (S)-2-methyl-3-methylene-1-oxa-8-azaspiro[4.5]decane-8-carboxylic acid ethyl ester (XIII), which is finally reduced with sodium bis(2-methoxyethoxy)aluminum hydride (vitride) in toluene and treated with fumaric acid to obtain the sesquifumarate salt.

参考文献No.19598
标题:(-)-(S)-2,8-Dimethyl-3-methylene-1-oxa-8-azaspiro[4,5]decane L-tartrate
作者:Tsukamoto, S.; Kohinata, T.; Fujii, M.; Tomisawa, S. (Yamanouchi Pharmaceutical Co., Ltd.)
来源:EP 0590150; JP 1993508699; WO 9220683
合成路线图解说明:

YM-796 can be obtained by two different ways: 1) The Wittig condensation of 1-methylpiperidin-4-one (I) with 2-(diethoxyphosphoryl)acetic acid ethyl ester (II) by means of NaH in dimethoxyethane gives 2-(1-methylpiperidin-4-ylidene) acetic acid ethyl ester (III), which is cyclized with ethyl lactate (IV) by means of NaH in DMSO yielding 2,8-dimethyl-3-oxo-1-oxa-8-azaspiro[4.5]decane-4-carboxylic acid ethyl ester (V). The decarboxylation of (V) with refluxing aqueous 1N HCl affords 2,8-dimethyl-1-oxa-8-azaspiro[4.5]decan-3-one (VI), which is submitted to a new Wittig condensation with methyltriphenylphosphonium iodide (or bromide) (VII) by means of NaH in DMSO to give racemic 2,8-dimethyl-3-methylene-1-oxa-8-azaspiro[4.5]decane (VIII). Finally, this compound is submitted to optical resolution with L-tartaric acid or with di-p-toluoyl-D-tartaric acid. 2) The Wittig condensation of 4-oxopiperidine-1-carboxylic acid ethyl ester (IX) with phosphorane (VII) as before gives the corresponding methylene derivative (X), which is submitted to alkoxybromination with N-bromosuccinimide (NBS) and (S)-3-butyn-2-ol (XI) yielding (S)-4-(bromomethyl)-4-(1-methyl-2-propynyloxy)piperidine-1-carboxylic acid ethyl ester (XII). The radical cyclization of (XII) with NaBH4 catalyzed by bis(dimethylglyoximato)(pyridine)cobalt(III) chloride [chlorocobaloxime(III)] affords (S)-2-methyl-3-methylene-1-oxa-8-azaspiro[4.5]decane-8-carboxylic acid ethyl ester (XIII), which is finally reduced with sodium bis(2-methoxyethoxy)aluminum hydride (vitride) in toluene and treated with fumaric acid to obtain the sesquifumarate salt.

参考文献No.315740
标题:Synthesis and structure-activity studies of a series of 1-oxa-8-azaspiro[4.5]decanes as M1 muscarinic agonists
作者:Tsukamoto, S.; Fujii, M.; Yasunaga, T.; Matsuda, K.; Wanibuchi, F.; Hidaka, K.; Furuya, T.; Tamura, T.
来源:Chem Pharm Bull 1995,43(5),842-852
合成路线图解说明:

YM-796 can be obtained by two different ways: 1) The Wittig condensation of 1-methylpiperidin-4-one (I) with 2-(diethoxyphosphoryl)acetic acid ethyl ester (II) by means of NaH in dimethoxyethane gives 2-(1-methylpiperidin-4-ylidene) acetic acid ethyl ester (III), which is cyclized with ethyl lactate (IV) by means of NaH in DMSO yielding 2,8-dimethyl-3-oxo-1-oxa-8-azaspiro[4.5]decane-4-carboxylic acid ethyl ester (V). The decarboxylation of (V) with refluxing aqueous 1N HCl affords 2,8-dimethyl-1-oxa-8-azaspiro[4.5]decan-3-one (VI), which is submitted to a new Wittig condensation with methyltriphenylphosphonium iodide (or bromide) (VII) by means of NaH in DMSO to give racemic 2,8-dimethyl-3-methylene-1-oxa-8-azaspiro[4.5]decane (VIII). Finally, this compound is submitted to optical resolution with L-tartaric acid or with di-p-toluoyl-D-tartaric acid. 2) The Wittig condensation of 4-oxopiperidine-1-carboxylic acid ethyl ester (IX) with phosphorane (VII) as before gives the corresponding methylene derivative (X), which is submitted to alkoxybromination with N-bromosuccinimide (NBS) and (S)-3-butyn-2-ol (XI) yielding (S)-4-(bromomethyl)-4-(1-methyl-2-propynyloxy)piperidine-1-carboxylic acid ethyl ester (XII). The radical cyclization of (XII) with NaBH4 catalyzed by bis(dimethylglyoximato)(pyridine)cobalt(III) chloride [chlorocobaloxime(III)] affords (S)-2-methyl-3-methylene-1-oxa-8-azaspiro[4.5]decane-8-carboxylic acid ethyl ester (XIII), which is finally reduced with sodium bis(2-methoxyethoxy)aluminum hydride (vitride) in toluene and treated with fumaric acid to obtain the sesquifumarate salt.

参考文献No.393819
标题:YM-796
作者:Ngo, J.; Martel, A.M.; Casta馿r, J.
来源:Drugs Fut 1997,22(2),144
合成路线图解说明:

YM-796 can be obtained by two different ways: 1) The Wittig condensation of 1-methylpiperidin-4-one (I) with 2-(diethoxyphosphoryl)acetic acid ethyl ester (II) by means of NaH in dimethoxyethane gives 2-(1-methylpiperidin-4-ylidene) acetic acid ethyl ester (III), which is cyclized with ethyl lactate (IV) by means of NaH in DMSO yielding 2,8-dimethyl-3-oxo-1-oxa-8-azaspiro[4.5]decane-4-carboxylic acid ethyl ester (V). The decarboxylation of (V) with refluxing aqueous 1N HCl affords 2,8-dimethyl-1-oxa-8-azaspiro[4.5]decan-3-one (VI), which is submitted to a new Wittig condensation with methyltriphenylphosphonium iodide (or bromide) (VII) by means of NaH in DMSO to give racemic 2,8-dimethyl-3-methylene-1-oxa-8-azaspiro[4.5]decane (VIII). Finally, this compound is submitted to optical resolution with L-tartaric acid or with di-p-toluoyl-D-tartaric acid. 2) The Wittig condensation of 4-oxopiperidine-1-carboxylic acid ethyl ester (IX) with phosphorane (VII) as before gives the corresponding methylene derivative (X), which is submitted to alkoxybromination with N-bromosuccinimide (NBS) and (S)-3-butyn-2-ol (XI) yielding (S)-4-(bromomethyl)-4-(1-methyl-2-propynyloxy)piperidine-1-carboxylic acid ethyl ester (XII). The radical cyclization of (XII) with NaBH4 catalyzed by bis(dimethylglyoximato)(pyridine)cobalt(III) chloride [chlorocobaloxime(III)] affords (S)-2-methyl-3-methylene-1-oxa-8-azaspiro[4.5]decane-8-carboxylic acid ethyl ester (XIII), which is finally reduced with sodium bis(2-methoxyethoxy)aluminum hydride (vitride) in toluene and treated with fumaric acid to obtain the sesquifumarate salt.

参考文献No.395157
标题:An efficient synthesis of (S)-(-)-2,8-dimethyl-3-methylene-1-oxa-8-azaspiro[4.5]decane by cobaloxime(I)-mediated radical cyclization
作者:Tsukamoto, S.; Kondo, Y.; Igarashi, S.
来源:Heterocycles 1995,41(8),1771-1778
合成路线图解说明:

YM-796 can be obtained by two different ways: 1) The Wittig condensation of 1-methylpiperidin-4-one (I) with 2-(diethoxyphosphoryl)acetic acid ethyl ester (II) by means of NaH in dimethoxyethane gives 2-(1-methylpiperidin-4-ylidene) acetic acid ethyl ester (III), which is cyclized with ethyl lactate (IV) by means of NaH in DMSO yielding 2,8-dimethyl-3-oxo-1-oxa-8-azaspiro[4.5]decane-4-carboxylic acid ethyl ester (V). The decarboxylation of (V) with refluxing aqueous 1N HCl affords 2,8-dimethyl-1-oxa-8-azaspiro[4.5]decan-3-one (VI), which is submitted to a new Wittig condensation with methyltriphenylphosphonium iodide (or bromide) (VII) by means of NaH in DMSO to give racemic 2,8-dimethyl-3-methylene-1-oxa-8-azaspiro[4.5]decane (VIII). Finally, this compound is submitted to optical resolution with L-tartaric acid or with di-p-toluoyl-D-tartaric acid. 2) The Wittig condensation of 4-oxopiperidine-1-carboxylic acid ethyl ester (IX) with phosphorane (VII) as before gives the corresponding methylene derivative (X), which is submitted to alkoxybromination with N-bromosuccinimide (NBS) and (S)-3-butyn-2-ol (XI) yielding (S)-4-(bromomethyl)-4-(1-methyl-2-propynyloxy)piperidine-1-carboxylic acid ethyl ester (XII). The radical cyclization of (XII) with NaBH4 catalyzed by bis(dimethylglyoximato)(pyridine)cobalt(III) chloride [chlorocobaloxime(III)] affords (S)-2-methyl-3-methylene-1-oxa-8-azaspiro[4.5]decane-8-carboxylic acid ethyl ester (XIII), which is finally reduced with sodium bis(2-methoxyethoxy)aluminum hydride (vitride) in toluene and treated with fumaric acid to obtain the sesquifumarate salt.

Drug Information Express,Drug R&D,Chemical Database,Patent Search.
Copyright © 2006-2026 Drug Future. All rights reserved.Contact Us