【药物名称】(S)-Sotalol, Dexsotalol, (+)-Sotalol, BMY-05763-1-D(monoHCl), BMY-5763
化学结构式(Chemical Structure):
参考文献No.562896
标题:Asymmetric synthesis of the antiarrhythmia agent d-sotalol
作者:Brodfuehrer, P.R.; et al.
来源:Org Process Res Dev 1997,1(2),176
合成路线图解说明:

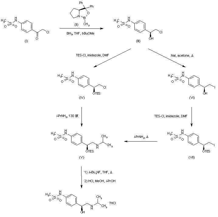
A chiral synthesis of d-sotalol has been reported starting from the commercially available 4'-(chloroacetyl)methanesulfonanilide (I). Enantioselective ketone reduction employing borane-tetrahydrofuran complex and (S)-2-methyloxazaborolidine (II) in tert-butyl methyl ether aforded the (S)-alcohol (III) with 96% e.e. Protection of the hydroxyl group as the triethylsilyl ether (IV) avoided formation of the undesired epoxide. Nucleophilic displacement of the chlorine of (IV) with isopropylamine to yield (V) was effected at 130 C in a pressurized steel bomb. Then, desilylation of (V) with tetrabutylammonium fluoride, followed by conversion to the hydrochloride salt furnished the title compound. In an improved procedure, chloride (III) was converted to the corresponding iodide (VI) by Finkelstein reaction with NaI in boiling acetone, followed by silylation with triethylsilyl chloride and imidazole to give (VII). Displacement of the iodine of (VII) to produce (V) was then feasible with refluxing isopropylamine at atmospheric pressure.

Drug Information Express,Drug R&D,Chemical Database,Patent Search.
Copyright © 2006-2026 Drug Future. All rights reserved.Contact Us