【药物名称】Manzamine A
化学结构式(Chemical Structure):
参考文献No.538621
标题:Enantioselective total synthesis of ircinal A and related manzamine alkaloids
作者:Martin, S.F.; et al.
来源:J Am Chem Soc 1999,121(4),866
合成路线图解说明:

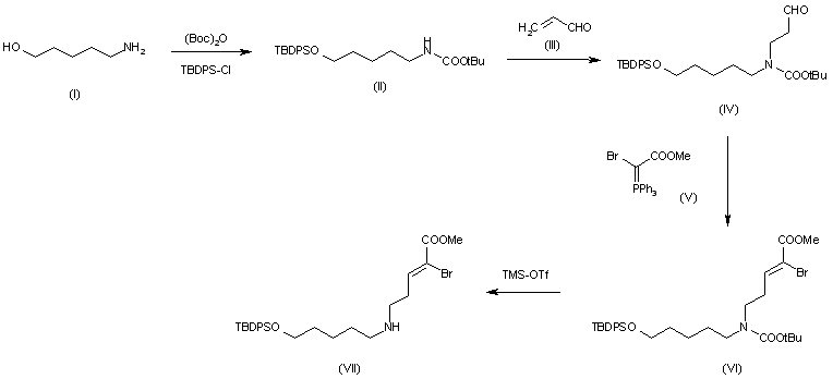
The protection of 5-amino-1-pentanol (I) gives the fully protected compound (II), which is condensed with propenal (III) yielding the 3-aminopropanal derivative (IV). The condensation of aldehyde (IV) with phosphorane (V) yielded the protected 5-amino-2-bromopentenoic ester derivative (VI), which is deprotected with trimethylsilyl triflate to afford the ester (VII) with an unprotected secondary amino group.

合成路线图解说明:

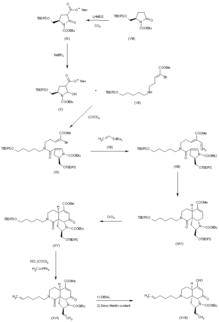
The reaction of protected pyrrolidone (VIII) with LHMDS and CO2 affords the corresponding pyrrolidonecarboxylic acid (IX), which is reduced at the ketonic oxygen with NaBH4 providing the hydroxyacid (X). The condensation of the previously obtained amino acid (VII) with the acid (X) by means of oxalyl chloride and triethylamine affords amide (XI), which is condensed with vinyltributylstannane (XII) by means of Pd(PPh3)4 to give the butaiene derivative (XIII). The spontaneous Diels-Alder cyclization of (XIII) yields the tricyclic compound (XIV), which is oxidized with CrO3 to the dione (XV). The deprotection of the hydroxyl groups of (XV), their reaction with oxalyl chloride and with methylenetriphenylphosphorane provides compound (XVI) with two terminal reactive double bonds. The reduction of (XVI) with DIBAL, followed by oxidation with Dess Martin periodinane (DMP) affords the corresponding aldehyde (XVII).

合成路线图解说明:

The ketalization of (XVII) with methyl orthoformate in methanol gives the dinethylketal (XVIII), which is condensed with 3-butenyllithium (XIX) to afford the tetracyclic compound (XX). A new cyclization of (XX) by means of a ruthenium catalyst closes the macrocycle of (XXI), which is condensed with 5-hexenoyl chloride (XXII) and triethylamine affording the precursor (XXIII) of the cyclooctane ring found in the target compound. The cyclization of (XXIII) with the same ruthenium catalyst gives the intermediate (XXIV) with the ring system of the target compound, which is finally reduced with DIBAL in order to eliminate the extra oxygen of (XXIV), and oxidized again with Dess Martin periodinane (DMP) to regenerate the formyl group reduced by the DIBAL to yield the target ircinal A.

Drug Information Express,Drug R&D,Chemical Database,Patent Search.
Copyright © 2006-2026 Drug Future. All rights reserved.Contact Us