【药物名称】Remacemide hydrochloride, FPL-12924AA, PR-1032-646 [(-)-isomer], PR-1032-644 [(+)-isomer], PR-934-423A
化学结构式(Chemical Structure):
参考文献No.581579
标题:Preparation of remacemide hydrochloride labelled with carbon-14, carbon-13, deuterium and tritium
作者:Dawson, G.E.; Coombs, M.E.; Fedorchuk, M.; et al.
来源:J Label Compd Radiopharm 2000,43(6),533
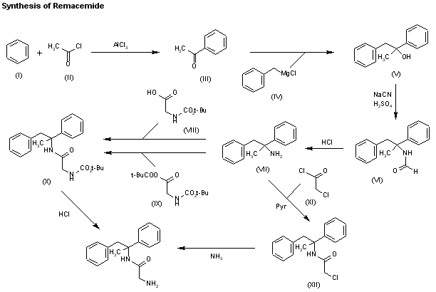
合成路线图解说明:

The syntheses of remacemide [13C]-, [14C]-, [2H]-,and [3H]-labeled in several different positions have been described: The Friedel Crafts condensation of benzene with acetyl chloride (II) by means of AlCl3 in CS2 gives acetophenone (III), which by a Grignard condensation with benzylmagnesium chloride (IV) in THF yields 1,2-diphenyl-3-propanol (V). Reaction of (V) with NaCN and sulfuric acid in acetic acid affords the formamide (VI), which is hydrolyzed with refluxing aqueous HCl to give the amine (VII). The condensation of (VII) with N-Boc-glycine (VIII) and DCC or with the N-Boc-glycine mixed anhydride (IX) and TEA in dichloromethane yields the protected glycinamide (X), which is finally deprotected with HCl in refluxing methanol. Alternatively, condensation of amine (VII) with chloroacetyl chloride (XI) by means of pyridine in dichloromethane provides the chloroacetamide (XII), which is finally treated with ammonia in ethanol/dichloromethane. In this reaction sequence, the use of [carbonyl-14C]-acetophenone (III), [13C6]-benzene (I), [13C2]-acetyl chloride (II), the [1-13C]-glycines (VIII) and (IX) or the [2-3H]-glycine (VIII) as starting materials affords remacemide labeled in the corresponding positions. [2H or 3H]-remacemide labeled in 2,6-positions of the 1-phenyl ring is obtained by submitting the amine (VII) to isotopic exchange with 2H2O/RhCl3, 2H2/Iridium complex, or 3H2/Iridium complex.

Drug Information Express,Drug R&D,Chemical Database,Patent Search.
Copyright © 2006-2026 Drug Future. All rights reserved.Contact Us