【药物名称】Romazarit sodium, Ro-31-3948/002
化学结构式(Chemical Structure):
参考文献No.103417
标题:ROMAZARIT SODIUM < Prop INNM; BAN >
作者:Bradshaw, D.; Sedgwick, A.D.; Self, C.R.
来源:Drugs Fut 1989,14(9),867
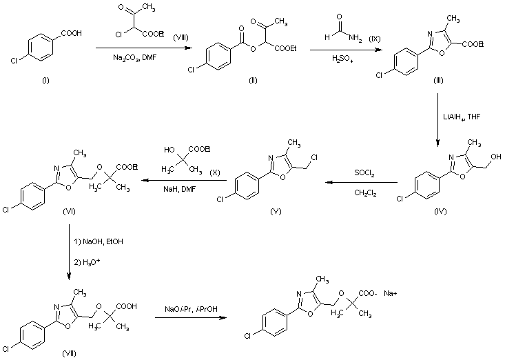
合成路线图解说明:

Romazarit (sodium salt) is prepared by a 7-step process from 4-chlorobenzoic acid, ethyl 2-chloroacetoacetate (VIII) and ethyl 2-methyl 2-hydroxypropionate (X). Reaction of the sodium salt of 4-chlorobenzoic acid (I) with ethyl 2-chloroacetoacetate (VIII) affords ethyl 3-oxo-2-(4-chlorophenylcarboxy)butyrate (II). Cyclization of (II) to ethyl 2-(4-chlorophenyl)-4-methyloxazole-5-carboxylate (III) is accomplished by treatment with formamide (IX)/sulfuric acid. Reduction of the ester (III) with lithium aluminum hydroxide in tetrahydrofuran yields 2-(4-chlorophenyl)-4-methyl-5-oxazolemethanol (IV). Chlorination of alcohol (IV) with thionyl chloride followed by reaction of crude chloromethyloxazole (V) with the sodium alkoxide derivative of ethyl 2-methyl-2-hydroxypropionate (X) yields ethyl [2-[(4-chlorophenyl)-4-methyl-5-oxazolyl]methoxy]-2-methylpropionate (VI). Hydrolysis of the ester (VI), acidification and recrystallization affords Ro 31-3948 (VII) as a white solid, which is converted to the sodium salt by treatment with sodium isopropoxide in isopropanol.

参考文献No.141136
标题:Romazarit: A potential disease-modifying antirheumatic drug
作者:Self, C.R.; Machin, P.J.; Barber, W.E.; et al.
来源:J Med Chem 1991,34(2),772--7
合成路线图解说明:

A new synthesis of romazarit sodium has been published: By reaction of 2-(4-chlorophenyl)-4-methyl-5-oxazolemethanol (I) with acetone, chloroform and NaOH at reflux temperature. Compound (I) is already known (see original monograph). Romazarit sodium represents a novel type of antiinflammatory drug with oral activity in models of chronic inflammation, in which it has shown clinical and biochemical effects. Romazarit sodium is now in phase II trials in patients with rheumatoid arthritis.

参考文献No.900160
标题:Oxazole and isoxazole derivatives having anti-arthritic activity.
作者:Self, C.R.; Machin, P.J.; Osbond, J.M.; Smithen, C.E.; Tong, B.P. (Hoffmann-La Roche, Inc.)
来源:EP 0220573; ES 2002420; ES 2010537; US 4774253
合成路线图解说明:

Romazarit (sodium salt) is prepared by a 7-step process from 4-chlorobenzoic acid, ethyl 2-chloroacetoacetate (VIII) and ethyl 2-methyl 2-hydroxypropionate (X). Reaction of the sodium salt of 4-chlorobenzoic acid (I) with ethyl 2-chloroacetoacetate (VIII) affords ethyl 3-oxo-2-(4-chlorophenylcarboxy)butyrate (II). Cyclization of (II) to ethyl 2-(4-chlorophenyl)-4-methyloxazole-5-carboxylate (III) is accomplished by treatment with formamide (IX)/sulfuric acid. Reduction of the ester (III) with lithium aluminum hydroxide in tetrahydrofuran yields 2-(4-chlorophenyl)-4-methyl-5-oxazolemethanol (IV). Chlorination of alcohol (IV) with thionyl chloride followed by reaction of crude chloromethyloxazole (V) with the sodium alkoxide derivative of ethyl 2-methyl-2-hydroxypropionate (X) yields ethyl [2-[(4-chlorophenyl)-4-methyl-5-oxazolyl]methoxy]-2-methylpropionate (VI). Hydrolysis of the ester (VI), acidification and recrystallization affords Ro 31-3948 (VII) as a white solid, which is converted to the sodium salt by treatment with sodium isopropoxide in isopropanol.

Drug Information Express,Drug R&D,Chemical Database,Patent Search.
Copyright © 2006-2026 Drug Future. All rights reserved.Contact Us