【药物名称】Irindalone tartrate, LU-21-098
化学结构式(Chemical Structure):
参考文献No.83448
标题:Antihypertensive activity in a series of 1-piperazino-3-phenylindans with potent 5-HT2-antagonistic activity
作者:Hyttel, J.; Bogeso, K.P.; Gundertofte, K.; Boeck, V.; Christensen, A.V.; Arnt, J.
来源:J Med Chem 1988,31(12),2247
合成路线图解说明:

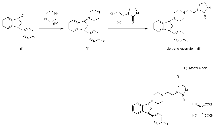
The synthesis has been described by B鴊es?et al. and the absolute configuration has been determined by X-ray crystallography by Jensen.

参考文献No.103416
标题:IRINDALONE TARTRATE < Rec INNM >
作者:Boeck, V.; Bogeso, K.P.; Hyttel, J.
来源:Drugs Fut 1989,14(9),859
合成路线图解说明:

The synthesis has been described by B鴊es?et al. and the absolute configuration has been determined by X-ray crystallography by Jensen.

参考文献No.108008
标题:Structure of the (+)-tartrate of the selective 5-HT2 antagonist irindalon
作者:Jensen, B.
来源:Acta Cryst 1988,C441602
合成路线图解说明:

The synthesis has been described by B鴊es?et al. and the absolute configuration has been determined by X-ray crystallography by Jensen.

Drug Information Express,Drug R&D,Chemical Database,Patent Search.
Copyright © 2006-2026 Drug Future. All rights reserved.Contact Us