【药物名称】Fadrozole hydrochloride, Fadrozole monohydrochloride, CGS-16949A, Afema, Arensin
化学结构式(Chemical Structure):
参考文献No.103414
标题:CGS-16949A
作者:Pento, J.T.; Prous, J.; Casta馿r, J.
来源:Drugs Fut 1989,14(9),843
合成路线图解说明:

1) The condensation of 4-(3-hydroxypropyl)-1H-imidazole (I) with dimethylcarbamoyl chloride by means of triethylamine in refluxing acetonitrile followed by reaction with trimethylchlorosilane gives 1-(dimethylcarbamoyl)-4-[3-(trimethylsilyloxy)propyl]imidazole (II), which is condensed with 4-cyanobenzyl bromide (III) in refluxing acetonitrile yielding 1-(4-cyanobenzyl)-5-(3-hydroxypropyl)imidazole (IV). The reaction of (IV) with SOCl2 in refluxing dichloromethane affords the corresponding 3-chloropropyl derivative (V), which is finally cyclized by means of potassium tert-butoxide in THF.

合成路线图解说明:

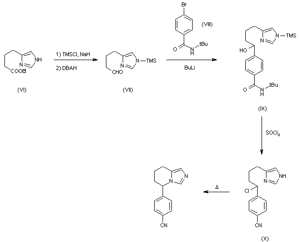
2) The protection of 4-[3-(ethoxycarbonyl)propyl-1H-imidazole (VI) with trimethylsilyl chloride followed by reduction with diisobutylaluminum hydride (DBAH) in dichloromethane gives 4-(3-formylpropyl)-1-(trimethylsilyl)imidazole (VII), which is condensed with 4-(tert-butylcarbamoyl)bromobenzene (VIII) by means of butyllithium in THF yielding 4-[4-[4-(tert-butylcarbamoyl)phenyl]-4-hydroxybutyl]-1-(trimethylsilyl) imidazole (IX). The reaction of (IX) with refluxing SOCl2 affords 4-[4-chloro-4-(4-cyanophenyl)butyl]-1H-imidazole (X), which is finally cyclized in refluxing CHCl3.

参考文献No.142544
标题:Fadrozole hydrochloride: A potent, selective, nonsteroidal inhibitor of aromatase for the treatment of estrogen-dependent disease
作者:Gude, C.; Rodriguez, H.; Steele, R.E.; Browne, L.J.
来源:J Med Chem 1991,34(2),725-36
合成路线图解说明:

A new synthesis of fadrozole hydrochloride has been published: The oxidation of 4-(2-pyridyl)benzoic acid ethyl ester (I) with peracetic acid at 90 C gives the corresponding N-oxide (II), which by reaction with dimethyl sulfate and potassium cyanide yields 4-(6-cyano-2-pyridyl)benzoic acid ethyl ester (III). The hydrogenation of (III) with H2 over Pd/C in methanol affords 4-[6-(aminomethyl)-2-pyridyl]benzoic acid ethyl ester (IV), which is formylated with formic acid at 90 C, giving the formamido derivative (V). The cyclization of (V) by means of POCl3 in toluene at 90 C yields 4-(imidazo[1,5-a]pyridin-5-yl)benzoic acid ethyl ester (VI), which is hydrogenated with H2 over Pd/C in anhydrous ethanol containing HCl to afford 4-(5,6,7,8-tetrahydroimidazo[1,5-a]pyridin-5-yl)benzoic acid ethyl ester (VII). The hydrolysis of (VI) with NaOH in ethanol gives the corresponding acid (VIII), which by reaction with refluxing SOCl2 yields the acyl chloride (IX). The reaction of (IX) with dry ammonia in dichloromethane affords the 4-(5,6,7,8-tetrahydroimidazo[1,5-a]pyridin-5-yl)benzamide (X), which is finally treated with POCl3 in refluxing chloroform. The final product is obtained by treatment with dry HCl in ethylether.

参考文献No.473000
标题:Synthesis of 14C--labelled CGS 16949A (fadrozole HCl), a potent aromatase inhibitor
作者:Allentoff, A.J.; Chaudhuri, N.K.; Markus, B.; Duelfer, T.; Desai, M.
来源:J Label Compd Radiopharm 1997,39(11),885
合成路线图解说明:

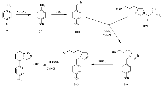
The synthesis of [14C]-fadrozole hydrochloride has been described: The reaction of 4-bromotoluene (I) with [14C]-copper cyanide in hot DMF gives [14C]-4-methylbenzonitrile (II), which is brominated with N-bromosuccinimide (NBS) and benzoyl peroxide in CCl4 yields the corresponding bromomethyl derivative (III). The condensation of (III) with N,N-dimethyl-4-[3-(trimethylsilyloxy)propyl]imidazole-1-carboxamide (IV) by means of ammonia, followed by desilylation with HCl affords labeled 4-[5-(3-hydroxypropyl)imidazol-1-ylmethyl]benzonitrile (V). The reaction of (V) with SOCl2 in dichloromethane gives the corresponding chloropropyl derivative (VI), which is finally cyclized by means of potassium tert-butoxide in THF and treated with dry HCl in ethanol/ethyl acetate to obtain the corresponding hydrochloride.

参考文献No.546405
标题:Palladium-catalyzed aryl cynations in radiosynthesis: Synthesis of 14C-labeled fadrozole, a potent aromatase inhibitor
作者:Allentoff, A.J.; et al.
来源:218th ACS Natl Meet (Aug 22 1999, New Orleans) 1999,Abst MEDI 49
合成路线图解说明:

14C-Radiolabeled fadrozole has been obtained by two similar ways: 1) The condensation of 4-[3-(methanesulfonyloxy)propyl]-N,N-dimethylimidazole-1-carboxamide (VI) with 14C-labeled 4-(bromomethyl)benzonitrile (IX) by means of NH3 followed by hydrolysis with HCl gives radiolabeled 4-[5-(3-hydroxypropyl)imidazol-1-ylmethyl]benzonitrile (X), which is treated with SOCl2 yielding the chloropropyl derivative (XI). Finally, this compound is cyclized to the target compound by means of potassium tert-butoxide. The intermediate compounds imidazole (VI) and radiolabeled benzonitrile (IX) have been obtained as follows: a) Imidazole (VI): The esterification of 3-(4-imidazolyl)-2(E)-propenoic acid (I) with SOCl2 and methanol gives the methyl ester (II), which is reduced with H2 over Pd/C yielding the propionic ester (III). The reduction of (III) with LiAlH4 affords 3-(4-imidazolyl)-1-propanol (IV), which is treated with N,N-dimethyl chloroformamide to afford 4-(3-hydroxypropyl)-N,N-dimethylimidazole-1-carboxamide (V). Finally, this compound is mesylated with methanesulfonyl chloride to give the desired intermediate (VI). b) Radiolabeled benzonitrile (IX): The reaction of 4-bromotoluene (VII) with radiolabeled potassium cyanide gives the radiolabeled 4-methylbenzonitrile (VIII), which is brominated with NBS and benzoylperoxide yielding intermediate (IX).

合成路线图解说明:

The esterification of 3-(4-imidazolyl)-2(E)-propenoic acid (I) with SOCl2 and methanol gives the methyl ester (II), which is reduced with H2 over Pd/C yielding the propionic ester (III). The reduction of (III) with LiAlH4 affords 3-(4-imidazolyl)-1-propanol (IV), which is treated with N,N-dimethyl chloroformamide to afford 4-(3-hydroxypropyl)-N,N-dimethylimidazole-1-carboxamide (V). The mesylation of (V) with methanesulfonyl chloride to give the corresponding methanesulfonate (VI), which is condensed with alpha-bromo-4-iodotoluene (XII) by means of NH3 and treated with HCl yielding 3-[1-(4-iodobenzyl)imidazol-5-yl]-1-propanol (XIII). The reaction of (XIII) with SOCl2 affords the 3-chloropropyl derivative (XIV), which is cyclized by means of potassium tert-butoxide to give 5-(4-iodobenzyl)-5,6,7,8-tetrahydroimidazo[1,5-a]pyridine (XV). Finally, this compound is condensed with radiolabeled potassium cyanide by means of palladium tetrakis(triphenylphosphine).

参考文献No.596125
标题:Palladium-catalyzed aryl cyanations with [C-14]KCN: Synthesis of C-14-labelled fadrozole, a potent aromatase inhibitor
作者:Markus, B.; Jones, L.; Duelfer, T.; Ray, T.; Wu, A.; Allentoff, A.J.; Ciszewska, G.
来源:J Label Compd Radiopharm 2000,43(11),1075
合成路线图解说明:

The protection of 3-(1H-imidazol-4-yl)-1-propanol (I) according to known techniques gives (II), which is condensed with 4-iodobenzyl bromide (III) by means of ammonia in acetonitrile, yielding 3-[1-(4-iodobenzyl)-1H-imidazol-5-yl)-1-propanol (IV). The reaction of (IV) with SOCl2 in dichloromethane affords the corresponding chloro derivative (V), which is cyclized by means of LDA and TMEDA in THF, affording 5-(4-iodophenyl)-5,6,7,8-tetrahydroimidazo[1,5-a]pyridine (VI). Finally, this compound is treated with (14C)-KCN and palladium tetrakis(triphenylphosphine) in refluxing THF.

参考文献No.900159
标题:Substituted imidazo[1,5-A]pyridine derivatives as aromatase inhibitors.
作者:Browne, L.J. (Ciba Geigy Corp.)
来源:ES 8801262; JP 61012688; US 4617307
合成路线图解说明:

1) The condensation of 4-(3-hydroxypropyl)-1H-imidazole (I) with dimethylcarbamoyl chloride by means of triethylamine in refluxing acetonitrile followed by reaction with trimethylchlorosilane gives 1-(dimethylcarbamoyl)-4-[3-(trimethylsilyloxy)propyl]imidazole (II), which is condensed with 4-cyanobenzyl bromide (III) in refluxing acetonitrile yielding 1-(4-cyanobenzyl)-5-(3-hydroxypropyl)imidazole (IV). The reaction of (IV) with SOCl2 in refluxing dichloromethane affords the corresponding 3-chloropropyl derivative (V), which is finally cyclized by means of potassium tert-butoxide in THF.

合成路线图解说明:

2) The protection of 4-[3-(ethoxycarbonyl)propyl-1H-imidazole (VI) with trimethylsilyl chloride followed by reduction with diisobutylaluminum hydride (DBAH) in dichloromethane gives 4-(3-formylpropyl)-1-(trimethylsilyl)imidazole (VII), which is condensed with 4-(tert-butylcarbamoyl)bromobenzene (VIII) by means of butyllithium in THF yielding 4-[4-[4-(tert-butylcarbamoyl)phenyl]-4-hydroxybutyl]-1-(trimethylsilyl) imidazole (IX). The reaction of (IX) with refluxing SOCl2 affords 4-[4-chloro-4-(4-cyanophenyl)butyl]-1H-imidazole (X), which is finally cyclized in refluxing CHCl3.

Drug Information Express,Drug R&D,Chemical Database,Patent Search.
Copyright © 2006-2026 Drug Future. All rights reserved.Contact Us