【药物名称】Naxagolide hydrochloride, PHNO-(+), MK-458, N-0500-(+), L-647339
化学结构式(Chemical Structure):
参考文献No.10030
标题:Hexahydronaphth(1,2-b)-1,4-oxazines, process for their preparation and pharmaceutical formulation containing them
作者:Jones, J.H.; McClure, D.E.; Grenda, V.J. (Merck & Co., Inc.)
来源:EP 0080115
合成路线图解说明:

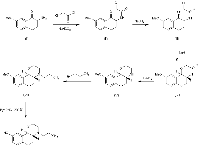
1) The acylation of 2-amino-7-methoxy-1-tetralone (I) with chloroacetyl chloride in ethyl acetate - water by means of NaHCO3 gives the corresponding chloroacetamido derivative (II), which is reduced with NaBH4 in ethanol - CHCl3 to trans-2-(chloroacetamido)-7-methoxy-1,2,3,4-tetrahydronaphthalen-1-ol (III). The cyclization of (III) by means of NaH in DMF yields the oxazinone (IV), which is reduced with LiAlH4 in refluxing THF to trans-9-methoxy-3,4,4a,5,6,10b-hexahydro-2H-naphth[1,2-b]-1,4-oxazine (V). The alkylation of (V) with propyl bromide by means of K2CO3 in DMF gives the N-propyl derivative (VI), which is finally demethylated by means of pyridine hydrochloride at 200 C.

合成路线图解说明:

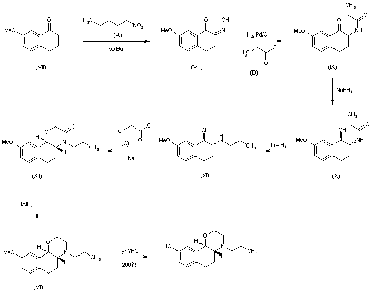
2) The reaction of 7-methoxy-1-tetralone (VII) with isopentyl nitrite and potassium tert-butoxide in ethanol - ether gives 7-methoxy-2-oxyimino-1-tetralone (VIII), which by reduction with H2 over Pd/C in THF and acylation with propanoyl chloride is converted to 7-methoxy-2-propionamido-1-tetralone (IX). The reduction of (IX) with NaBH4 in ethanol yields the alcohol (X), which by further reduction with LiAlH4 in THF affords trans-7-methoxy-2-(proylamino)-1,2,3,4-tetrahydronaphthalen-1-ol (XI). The cyclization of (XI) with chloroacetyl chloride by means of NaH in THF - acetonitrile gives trans-9-methoxy-4-propyl-3,4,4a,5,6,10b-hexahydro-2H-naphth[1,2-b]-1,4-oxazin-3-one (XII), which is reduced with LiAlH4 in THF to compound (VI), already obtained.

参考文献No.108098
标题:Synthesis of 4-substituted 2H-naphth[1,2-b]-1,4-oxazines, a new class of dopamine agonists
作者:Williams, M.; Jones, J.H.; Randall, W.C.; Clineschmidt, B.V.; Martin, G.E.; Lumma, P.K.; Hirshfield, J.M.; Anderson, P.S.; McClure, D.E.; Lundell, G.F.; Baldwin, J.J.; Smith, G.
来源:J Med Chem 1984,27(12),1607
合成路线图解说明:

2) The reaction of 7-methoxy-1-tetralone (VII) with isopentyl nitrite and potassium tert-butoxide in ethanol - ether gives 7-methoxy-2-oxyimino-1-tetralone (VIII), which by reduction with H2 over Pd/C in THF and acylation with propanoyl chloride is converted to 7-methoxy-2-propionamido-1-tetralone (IX). The reduction of (IX) with NaBH4 in ethanol yields the alcohol (X), which by further reduction with LiAlH4 in THF affords trans-7-methoxy-2-(proylamino)-1,2,3,4-tetrahydronaphthalen-1-ol (XI). The cyclization of (XI) with chloroacetyl chloride by means of NaH in THF - acetonitrile gives trans-9-methoxy-4-propyl-3,4,4a,5,6,10b-hexahydro-2H-naphth[1,2-b]-1,4-oxazin-3-one (XII), which is reduced with LiAlH4 in THF to compound (VI), already obtained.

参考文献No.109636
标题:NAXAGOLIDE HYDROCHLORIDE < Prop INNM; USAN >
作者:Prous, J.; Casta馿r, J.
来源:Drugs Fut 1989,14(10),951
合成路线图解说明:

1) The acylation of 2-amino-7-methoxy-1-tetralone (I) with chloroacetyl chloride in ethyl acetate - water by means of NaHCO3 gives the corresponding chloroacetamido derivative (II), which is reduced with NaBH4 in ethanol - CHCl3 to trans-2-(chloroacetamido)-7-methoxy-1,2,3,4-tetrahydronaphthalen-1-ol (III). The cyclization of (III) by means of NaH in DMF yields the oxazinone (IV), which is reduced with LiAlH4 in refluxing THF to trans-9-methoxy-3,4,4a,5,6,10b-hexahydro-2H-naphth[1,2-b]-1,4-oxazine (V). The alkylation of (V) with propyl bromide by means of K2CO3 in DMF gives the N-propyl derivative (VI), which is finally demethylated by means of pyridine hydrochloride at 200 C.

合成路线图解说明:

2) The reaction of 7-methoxy-1-tetralone (VII) with isopentyl nitrite and potassium tert-butoxide in ethanol - ether gives 7-methoxy-2-oxyimino-1-tetralone (VIII), which by reduction with H2 over Pd/C in THF and acylation with propanoyl chloride is converted to 7-methoxy-2-propionamido-1-tetralone (IX). The reduction of (IX) with NaBH4 in ethanol yields the alcohol (X), which by further reduction with LiAlH4 in THF affords trans-7-methoxy-2-(proylamino)-1,2,3,4-tetrahydronaphthalen-1-ol (XI). The cyclization of (XI) with chloroacetyl chloride by means of NaH in THF - acetonitrile gives trans-9-methoxy-4-propyl-3,4,4a,5,6,10b-hexahydro-2H-naphth[1,2-b]-1,4-oxazin-3-one (XII), which is reduced with LiAlH4 in THF to compound (VI), already obtained.

合成路线图解说明:

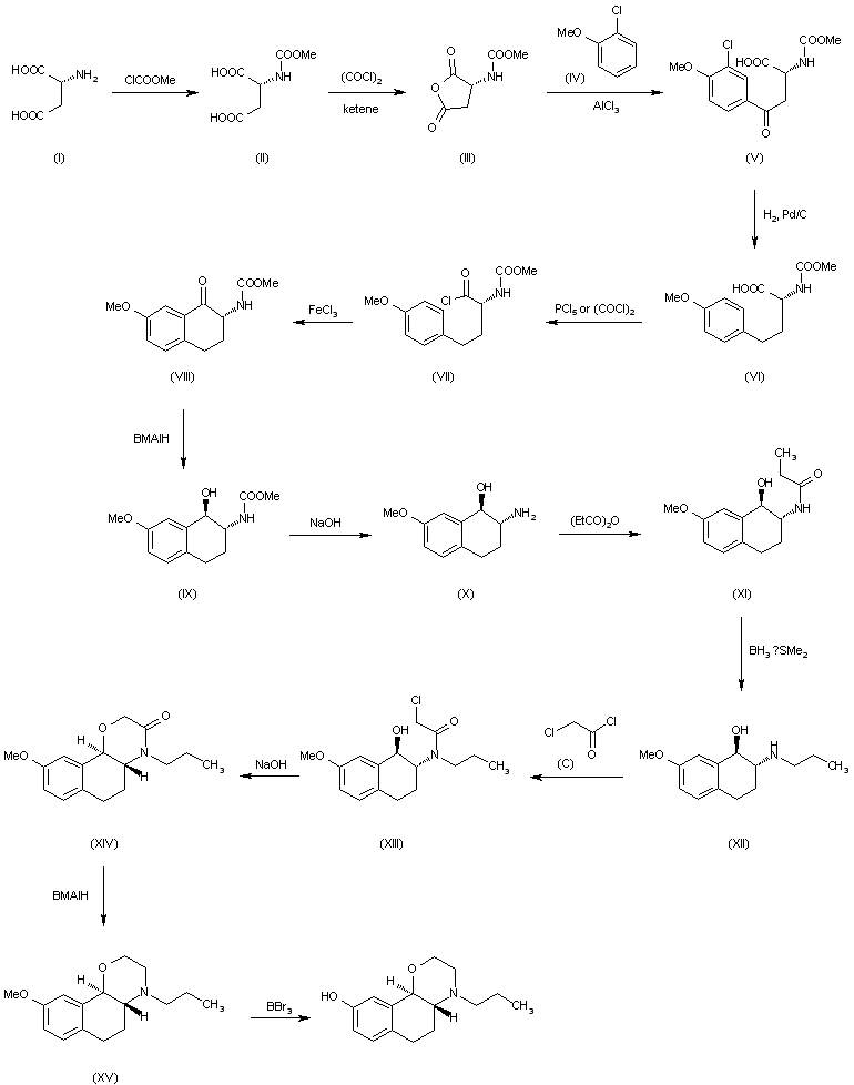
3) The acylation of D-aspartic acid (I) with methyl chloroformate and NaOH in water yields N-(methoxycarbonyl)-D-aspartic acid (II), which is anhydrized with oxalyl chloride and DMF in isopropyl acetate giving the corresponding anhydride (III). The Friedel-Craft's condensation of (III) with 2-chloroanisole (IV) by means of AlCl3 in nitromethane - dichloromethane affords 3-(3-chloro-4-methoxybenzoyl)-N-(methoxycarbonyl)-D-alanine (V), which is reduced with H2 over Pd/C in aqueous acetic acid to the substituted amino acid (VI). The reaction of (VI) with PCl5 or oxalyl chloride yields the corresponding acyl chloride (VII), which is cyclized by means of FeCl3 in nitromethane-dichloromethane affording 7-methoxy-2(R)-(methoxycarbonylamino)-1-tetralone (VIII). The reduction of (VIII) with sodium bis(methoxyethoxy) aluminum hydride (BMAlH) in toluene gives the trans-aminoalcohol (IX), which is deprotected by treatment with NaOH in methanol - water yielding (2R-trans)-2-amino-1-hydroxy-7-methoxytetraline (X). The acylation of (X) with propionyl anhydride in methanol - water affords the amide (XI), which is reduced with BH3-dimethyl sulfide giving [2(R)-trans]-1-hydroxy-7-methoxy-2-(propylamino)tetraline (XII). The acylation of (XII) with chloroacetyl chloride in toluene - aqueous Na2CO3 affords the chloroacetamide (XIII), which is cyclized by means of NaOH and tetrabutylammonium chloride to give [4a(R)-trans]-9-methoxy-4-propyl-3,4,4a,5,6,10b-hexahydro-2H-naphth [1,2-b]-1,4-oxazin-3-one (XIV). The reduction of (XIV) with BMAlH as before gives the methylated product (XV), which is finally demethylated with BBr3 and cyclohexene in dichloromethane.

参考文献No.800166
标题:Chiral synthesis of (+)-trans-1a,2,3,4a,5,6-hexahydro-9-hydroxy-4-propyl-4H-naphth(1,2-b)- 1,4-oxazine
作者:Melillo, D.G.; Mathre, D.J.; Larsen, R.D. (Merck & Co., Inc.)
来源:EP 0251547
合成路线图解说明:

3) The acylation of D-aspartic acid (I) with methyl chloroformate and NaOH in water yields N-(methoxycarbonyl)-D-aspartic acid (II), which is anhydrized with oxalyl chloride and DMF in isopropyl acetate giving the corresponding anhydride (III). The Friedel-Craft's condensation of (III) with 2-chloroanisole (IV) by means of AlCl3 in nitromethane - dichloromethane affords 3-(3-chloro-4-methoxybenzoyl)-N-(methoxycarbonyl)-D-alanine (V), which is reduced with H2 over Pd/C in aqueous acetic acid to the substituted amino acid (VI). The reaction of (VI) with PCl5 or oxalyl chloride yields the corresponding acyl chloride (VII), which is cyclized by means of FeCl3 in nitromethane-dichloromethane affording 7-methoxy-2(R)-(methoxycarbonylamino)-1-tetralone (VIII). The reduction of (VIII) with sodium bis(methoxyethoxy) aluminum hydride (BMAlH) in toluene gives the trans-aminoalcohol (IX), which is deprotected by treatment with NaOH in methanol - water yielding (2R-trans)-2-amino-1-hydroxy-7-methoxytetraline (X). The acylation of (X) with propionyl anhydride in methanol - water affords the amide (XI), which is reduced with BH3-dimethyl sulfide giving [2(R)-trans]-1-hydroxy-7-methoxy-2-(propylamino)tetraline (XII). The acylation of (XII) with chloroacetyl chloride in toluene - aqueous Na2CO3 affords the chloroacetamide (XIII), which is cyclized by means of NaOH and tetrabutylammonium chloride to give [4a(R)-trans]-9-methoxy-4-propyl-3,4,4a,5,6,10b-hexahydro-2H-naphth [1,2-b]-1,4-oxazin-3-one (XIV). The reduction of (XIV) with BMAlH as before gives the methylated product (XV), which is finally demethylated with BBr3 and cyclohexene in dichloromethane.

Drug Information Express,Drug R&D,Chemical Database,Patent Search.
Copyright © 2006-2026 Drug Future. All rights reserved.Contact Us