【药物名称】Itopride hydrochloride, HSR-803, Itax, Ganaton
化学结构式(Chemical Structure):
参考文献No.9968
标题:Amide cpds., process for preparing the same, and compsn. for activating gastric motor function containing the same
作者:Itoh, Y.; Kato, H.; Koshinaka, E.; Ogawa, N.; Nishino, H.; Sakaguchi, J. (Hokuriku Seiyaku Co., Ltd.)
来源:AU 8821862; EP 0306827; JP 1989066153; JP 1989079144; JP 1989085960; JP 1989093568; US 4983633
合成路线图解说明:

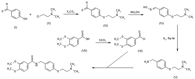
The condensation of 4-hydroxybenzaldehyde (I) with 2-(dimethylamino)ethyl chloride (II) by means of K2CO3 in hot isopropyl ether yields 4-[2-(dimethylamino)ethoxy]benzaldehyde (III), which is treated with hydroxylamine hydrochloride in refluxing ethanol to afford the corresponding oxime (IV). The hydrogenation of (IV) with H2 over RaNi in methanolic ammonia yields 4-[2-(dimethylamino)ethoxy]benzylamine (V), which is finally condensed with 3,4-dimethoxybenzoyl chloride (VI) (obtain303ed from the corresponding acid (VII) with SOCl2) in toluene.

参考文献No.329913
标题:Itopride Hydrochloride
作者:Casta馿r, J.; Mealy, N.
来源:Drugs Fut 1995,20(12),1220
合成路线图解说明:

The condensation of 4-hydroxybenzaldehyde (I) with 2-(dimethylamino)ethyl chloride (II) by means of K2CO3 in hot isopropyl ether yields 4-[2-(dimethylamino)ethoxy]benzaldehyde (III), which is treated with hydroxylamine hydrochloride in refluxing ethanol to afford the corresponding oxime (IV). The hydrogenation of (IV) with H2 over RaNi in methanolic ammonia yields 4-[2-(dimethylamino)ethoxy]benzylamine (V), which is finally condensed with 3,4-dimethoxybenzoyl chloride (VI) (obtain303ed from the corresponding acid (VII) with SOCl2) in toluene.

参考文献No.340282
标题:Synthesis, gastrointestinal prokinetic activity and structure-activity relationships of novel N-[[2-(dialkylamino)ethoxy]benzyl]benzamide derivatives
作者:Sakaguchi, J.; Nishino, H.; Ogawa, N.; Iwanaga, Y.; Yasuda, S.; Kato, H.; Ito, Y.
来源:Chem Pharm Bull 1992,40(1),202-11
合成路线图解说明:

The condensation of 4-hydroxybenzaldehyde (I) with 2-(dimethylamino)ethyl chloride (II) by means of K2CO3 in hot isopropyl ether yields 4-[2-(dimethylamino)ethoxy]benzaldehyde (III), which is treated with hydroxylamine hydrochloride in refluxing ethanol to afford the corresponding oxime (IV). The hydrogenation of (IV) with H2 over RaNi in methanolic ammonia yields 4-[2-(dimethylamino)ethoxy]benzylamine (V), which is finally condensed with 3,4-dimethoxybenzoyl chloride (VI) (obtain303ed from the corresponding acid (VII) with SOCl2) in toluene.

Drug Information Express,Drug R&D,Chemical Database,Patent Search.
Copyright © 2006-2026 Drug Future. All rights reserved.Contact Us