【药物名称】Donepezil hydrochloride, BNAG, E-2020, Eranz, Memorit, Memac, Aricept
化学结构式(Chemical Structure):
参考文献No.9560
标题:Cyclic amine cpd., its use and pharmaceutical compsns. comprising it
作者:Sugimoto, H.; Tsuchiya, Y.; Higurashi, K.; Karibe, N.; Iimura, Y.; Sasaki, A.; Yamanashi, Y.; Ogura, H.; Araki, S.; Kosasa, T.; Kusota, A.; Kozasa, M.; Yamatsu, K. (Eisai Co., Ltd.)
来源:AU 8818216; EP 0296560; EP 0673927; EP 0742207; JP 1989079151; JP 1998067739; US 4895841; US 5100901
合成路线图解说明:

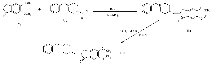
The condensation of 5,6-dimethoxy-1-indanone (I) with 1-benzylpiperidine-4-carboxaldehyde (II) by means of butyllithium and diisopropylamine in THF gives 1-benzyl-4-(5,6-dimethoxy-1-oxoindan-2-ylidenemethyl)piperidine (III), which is reduced with H2 over Pd/C in THF and treated with HCl in dichloromethane - ethyl acetate.

参考文献No.90097
标题:Synthesis of 1-benzyl-4-[(5,6-dimethoxy[2-14C]-1-indanon)-2-yl]methylpiperidine hydrochloride (E-2020-14C)
作者:Sugimoto, H.; Mishima, M.; Iimura, Y.
来源:J Label Compd Radiopharm 1989,27(7),835-9
合成路线图解说明:

The condensation of 5,6-dimethoxy-1-indanone (I) with 1-benzylpiperidine-4-carboxaldehyde (II) by means of butyllithium and diisopropylamine in THF gives 1-benzyl-4-(5,6-dimethoxy-1-oxoindan-2-ylidenemethyl)piperidine (III), which is reduced with H2 over Pd/C in THF and treated with HCl in dichloromethane - ethyl acetate.

参考文献No.128335
标题:E-2020
作者:Casta馿r, J.; Prous, J.
来源:Drugs Fut 1991,16(1),16
合成路线图解说明:

The condensation of 5,6-dimethoxy-1-indanone (I) with 1-benzylpiperidine-4-carboxaldehyde (II) by means of butyllithium and diisopropylamine in THF gives 1-benzyl-4-(5,6-dimethoxy-1-oxoindan-2-ylidenemethyl)piperidine (III), which is reduced with H2 over Pd/C in THF and treated with HCl in dichloromethane - ethyl acetate.

参考文献No.581582
标题:Synthesis of 1-benzyl-4-[(5,[C-11]6-dimethoxy-1-oxoindan-2-yl)methyl]piperidine: A promising ligand for visualisation of acetylcholine esterase by PET
作者:Santens, P.; DeReuck, J.; Dierckx, R.A.; Siegers, G.; Vermeirsch, H.; De Vos, F.
来源:J Label Compd Radiopharm 2000,43(6),595
合成路线图解说明:

11C-Labeled donepezil was prepared by methylation of 2-(1-benzylpiperidin-4-ylmethyl)-6-hydroxy-5-methoxyindan-1-one (I) with 11CH3I by means of tetrabutylammonium hydroxide in DMF.

Drug Information Express,Drug R&D,Chemical Database,Patent Search.
Copyright © 2006-2026 Drug Future. All rights reserved.Contact Us