【药物名称】SK&F-105685
化学结构式(Chemical Structure):
参考文献No.148126
标题:SK&F-105685
作者:Schwartz, D.A.; Badger, A.M.
来源:Drugs Fut 1991,16(9),815
合成路线图解说明:

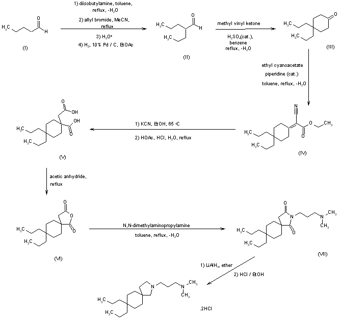
The hindered base, diisobutylamine, was used in the Stork enamine synthesis of valeraldehyde (I) with allyl bromide to yield the desired aldehyde (II) following acidic hydrolysis and subsequent hydrogenation. Acid-catalyzed annelation of (II) with methyl vinyl ketone provided 4,4-dipropylcyclohex-2-enone which upon hydrogenation gave (III). Piperidine-catalyzed condensation of ethyl cyanoacetate with (III) gave cyanoester (IV). Michael addition of KCN followed by acidic hydrolysis gave diacid (V). Treatment of diacid (V) with acetic anhydride gave desired anhydride (VI), which was condensed with N,N-dimethylaminopropylamine to yield the desired imide (VII). Lithium aluminum hydride reduction of the imide (VII) gave the desired diamine which was treated with anhydrous HCl/ethanol to give the required dihydrochloride salt, SK&F 105685.

参考文献No.236912
标题:Synthesis of the tritium labelled azaspirane: SK&F 105685
作者:Landvatter, S.W.; Heys, J.R.; Senderoff, S.G.
来源:J Label Compd Radiopharm 1993,33(12),1113
合成路线图解说明:

The synthesis of two different forms of tritiated SK&F-105685 has been described: 1) The reaction of SK&F-105685 (I) with mercuric acetate and perchloric acid gives the corresponding iminium perchlorate (II), which is then reduced with NaBT4 in ethanol yielding the tritium derivative at C-1. 2) The reductive tritiation of the 8-allyl-2-[3-(dimethylamino)propyl]-8-propyl-2-azaspiro[4.5]decane (III) with tritium gas over Pd/C in ethanol gives the ditritiated compound at the propyl.

参考文献No.802331
标题:A study of the alkylation of enamines derived from sterically hindered amines
作者:Curphey, T.J.; Chu, C.C.C.; Hung, J.C.
来源:J Org Chem 1975,40607-14
合成路线图解说明:

The hindered base, diisobutylamine, was used in the Stork enamine synthesis of valeraldehyde (I) with allyl bromide to yield the desired aldehyde (II) following acidic hydrolysis and subsequent hydrogenation. Acid-catalyzed annelation of (II) with methyl vinyl ketone provided 4,4-dipropylcyclohex-2-enone which upon hydrogenation gave (III). Piperidine-catalyzed condensation of ethyl cyanoacetate with (III) gave cyanoester (IV). Michael addition of KCN followed by acidic hydrolysis gave diacid (V). Treatment of diacid (V) with acetic anhydride gave desired anhydride (VI), which was condensed with N,N-dimethylaminopropylamine to yield the desired imide (VII). Lithium aluminum hydride reduction of the imide (VII) gave the desired diamine which was treated with anhydrous HCl/ethanol to give the required dihydrochloride salt, SK&F 105685.

参考文献No.802332
标题:Acid-catalyzed annelation of alpha-alkyl aldehydes and alpha,beta-unsaturated ketones. A one-pot synthesis of 4,4-dimethyl-2-cyclohexen-1-one
作者:Flaugh, M.E.; Crowell, T.A.; Farlow, D.S.
来源:J Org Chem 1980,455399-400
合成路线图解说明:

The hindered base, diisobutylamine, was used in the Stork enamine synthesis of valeraldehyde (I) with allyl bromide to yield the desired aldehyde (II) following acidic hydrolysis and subsequent hydrogenation. Acid-catalyzed annelation of (II) with methyl vinyl ketone provided 4,4-dipropylcyclohex-2-enone which upon hydrogenation gave (III). Piperidine-catalyzed condensation of ethyl cyanoacetate with (III) gave cyanoester (IV). Michael addition of KCN followed by acidic hydrolysis gave diacid (V). Treatment of diacid (V) with acetic anhydride gave desired anhydride (VI), which was condensed with N,N-dimethylaminopropylamine to yield the desired imide (VII). Lithium aluminum hydride reduction of the imide (VII) gave the desired diamine which was treated with anhydrous HCl/ethanol to give the required dihydrochloride salt, SK&F 105685.

Drug Information Express,Drug R&D,Chemical Database,Patent Search.
Copyright © 2006-2026 Drug Future. All rights reserved.Contact Us