【药物名称】Mibefradil hydrochloride, Ro-40-5967/001, Ro-40-5967, Cerate 50, Posicor
化学结构式(Chemical Structure):
参考文献No.8284
标题:Tetrahydronaphthalene derivs. and medicines containing them
作者:Branca, Q.; Jaunin, R.; M鋜ki, H.P.; Marti, F.; Ramuz, H. (F. Hoffmann-La Roche AG)
来源:EP 0268148; JP 1988139171; US 4808605
合成路线图解说明:

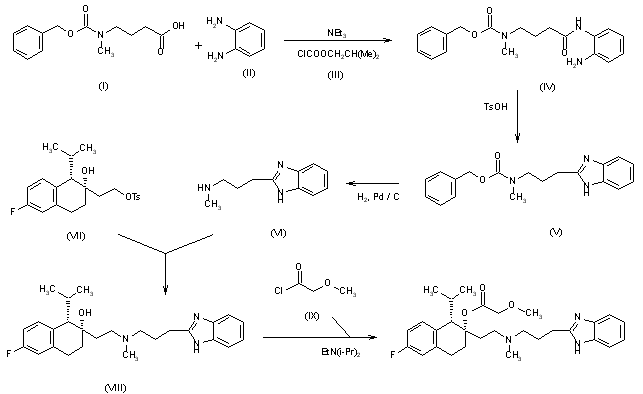
The condensation of 4-(1-benzyloxy-N-methylformamido)butyric acid (I) with o-phenylenediamine (II) and isobutyl chloroformate (III) by means of triethylamine gives N-[3-[N-(2-aminophenyl)carbamoyl]propyl]-N-methylcarbamic acid benzyl ester (IV), which is cyclized by means of p-toluenesulfonic acid in refluxing toluene to the benzimidazole derivative (V). Hydrogenation of (V) with H2 over Pd/C in methanol affords 2-[3-(methylamino)propyl]benzimidazole (VI), which is condensed with the chiral p-toluenesulfonate (VII) by heating at 120 C to give the chiral tetrahydronaphthol (VIII). Finally, this alcohol is esterified with 2-methoxyacetyl chloride and ethyl diisopropylamine in chloroform.

参考文献No.426725
标题:Mibefradil Hydrochloride
作者:Merlos, M.; Casta馿r, J.; Casa, A.; Graul, A.
来源:Drugs Fut 1997,22(10),1091
合成路线图解说明:

The condensation of 4-(1-benzyloxy-N-methylformamido)butyric acid (I) with o-phenylenediamine (II) and isobutyl chloroformate (III) by means of triethylamine gives N-[3-[N-(2-aminophenyl)carbamoyl]propyl]-N-methylcarbamic acid benzyl ester (IV), which is cyclized by means of p-toluenesulfonic acid in refluxing toluene to the benzimidazole derivative (V). Hydrogenation of (V) with H2 over Pd/C in methanol affords 2-[3-(methylamino)propyl]benzimidazole (VI), which is condensed with the chiral p-toluenesulfonate (VII) by heating at 120 C to give the chiral tetrahydronaphthol (VIII). Finally, this alcohol is esterified with 2-methoxyacetyl chloride and ethyl diisopropylamine in chloroform.

Drug Information Express,Drug R&D,Chemical Database,Patent Search.
Copyright © 2006-2026 Drug Future. All rights reserved.Contact Us