【药物名称】FR-900409, FK-409
化学结构式(Chemical Structure):
参考文献No.10827
标题:New nitro aliphatic cpds., process for preparation thereof and use thereof
作者:Okamoto, M.; Iwami, M.; Takase, S.; Uchida, I.; Umehara, K.; Kohsaka, M.; Imanaka, H. (Fujisawa Pharmaceutical Co., Ltd.)
来源:EP 0113106; JP 1990160750
合成路线图解说明:

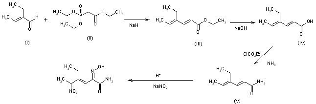
The Wittig condensation of 2-ethyl-2(E)-butenal (I) with triethyl phosphonoacetate (II) by means of NaH in benzene gives (2E,4E)-4-ethyl-2,4-hexadienoic acid ethyl ester (III), which is hydrolyzed with NaOH to the corresponding free acid (IV). The reaction of (IV) with ethyl chloroformate and then with ammonia affords the (2E,4E)-2-ethyl-2,4-hexadienamide (V), which is finally treated with NaNO2 in methanol adjusted at pH 3.0 with cond. HCl.

参考文献No.101013
标题:FK409, a novel vasodilator isolated from the acid-treated fermentation broth of Streptomyces griseosporeus. I. Taxonomy, fermentation, isolation, and physico-chemical and biological characteristics
作者:Hino, M.; Iwami, M.; Okamoto, M.; Yoshida, K.; Haruta, H.; Okuhara, M.; Hosoda, J.; Kohsaka, M.; Aoki, H.; Imanaka, H.
来源:J Antibiot 1989,42(11),1578
合成路线图解说明:

The Wittig condensation of 2-ethyl-2(E)-butenal (I) with triethyl phosphonoacetate (II) by means of NaH in benzene gives (2E,4E)-4-ethyl-2,4-hexadienoic acid ethyl ester (III), which is hydrolyzed with NaOH to the corresponding free acid (IV). The reaction of (IV) with ethyl chloroformate and then with ammonia affords the (2E,4E)-2-ethyl-2,4-hexadienamide (V), which is finally treated with NaNO2 in methanol adjusted at pH 3.0 with cond. HCl.

参考文献No.101014
标题:FK409, a novel vasodilator isolated from the acid-treated fermentation broth of Streptomyces griseosporeus. III. Reaction mechanism and synthesis
作者:Hino, M.; Takase, S.; Itoh, Y.; Uchida, I.; Okamoto, M.; Kohsaka, M.; Aoki, H.; Imanaka, H.
来源:J Antibiot 1989,42(44),1589
合成路线图解说明:

The Wittig condensation of 2-ethyl-2(E)-butenal (I) with triethyl phosphonoacetate (II) by means of NaH in benzene gives (2E,4E)-4-ethyl-2,4-hexadienoic acid ethyl ester (III), which is hydrolyzed with NaOH to the corresponding free acid (IV). The reaction of (IV) with ethyl chloroformate and then with ammonia affords the (2E,4E)-2-ethyl-2,4-hexadienamide (V), which is finally treated with NaNO2 in methanol adjusted at pH 3.0 with cond. HCl.

参考文献No.101016
标题:Structure and synthesis of FK409, a novel vasodilator isolated from Streptomyces as a semi-artificial fermentation product
作者:Hino, M.; Kohsaka, M.; Uchida, I.; Hashimoto, M.; Takase, S.; Okamoto, M.; Itoh, Y.
来源:Chem Pharm Bull 1989,37(10),2864
合成路线图解说明:

The Wittig condensation of 2-ethyl-2(E)-butenal (I) with triethyl phosphonoacetate (II) by means of NaH in benzene gives (2E,4E)-4-ethyl-2,4-hexadienoic acid ethyl ester (III), which is hydrolyzed with NaOH to the corresponding free acid (IV). The reaction of (IV) with ethyl chloroformate and then with ammonia affords the (2E,4E)-2-ethyl-2,4-hexadienamide (V), which is finally treated with NaNO2 in methanol adjusted at pH 3.0 with cond. HCl.

参考文献No.193895
标题:FK-409
作者:Prous, J.; Casta馿r, J.
来源:Drugs Fut 1993,18(1),9
合成路线图解说明:

The Wittig condensation of 2-ethyl-2(E)-butenal (I) with triethyl phosphonoacetate (II) by means of NaH in benzene gives (2E,4E)-4-ethyl-2,4-hexadienoic acid ethyl ester (III), which is hydrolyzed with NaOH to the corresponding free acid (IV). The reaction of (IV) with ethyl chloroformate and then with ammonia affords the (2E,4E)-2-ethyl-2,4-hexadienamide (V), which is finally treated with NaNO2 in methanol adjusted at pH 3.0 with cond. HCl.

Drug Information Express,Drug R&D,Chemical Database,Patent Search.
Copyright © 2006-2026 Drug Future. All rights reserved.Contact Us