【药物名称】P16CM
化学结构式(Chemical Structure):
参考文献No.10532
标题:Anti-inflammatory carboxy pregnane derivatives
作者:Lee, H.J. (Florida Agricultural and Mechanical Univ.)
来源:US 4762919; WO 8705028
合成路线图解说明:

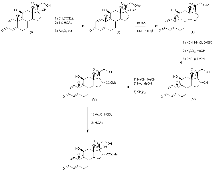
P16CM is synthesized from prednisolone (I) via the key 16,17-dehydro intermediate (III). The compound (III) is prepared by literature procedures from prednisolone by its conversion to prednisolone 17,21-diacetate (II), followed by a potassium acetate-induced acyloxy elimination reaction. Michael addition to (III) with KCN provides the 21-acetoxy-16alpha-cyano compound, which is deprotected at C-21 and reprotected with a base-stable tetrahydropyranyl (THP) group to provide (IV). A base hydrolysis of (IV), followed by deprotection at C-21 and esterification at the 16-carboxylate, gives (V), the 17-desoxy analogue of P16CM. 17alpha-Hydroxylation of (V) via the intermediate 17,20-enol acetate, using dilute peroxyacetic acid solution at low temperature, yields P16CM.

参考文献No.109635
标题:P16CM
作者:Lee, H.-J.; Taraporewala, I.B.
来源:Drugs Fut 1989,14(10),960
合成路线图解说明:

P16CM is synthesized from prednisolone (I) via the key 16,17-dehydro intermediate (III). The compound (III) is prepared by literature procedures from prednisolone by its conversion to prednisolone 17,21-diacetate (II), followed by a potassium acetate-induced acyloxy elimination reaction. Michael addition to (III) with KCN provides the 21-acetoxy-16alpha-cyano compound, which is deprotected at C-21 and reprotected with a base-stable tetrahydropyranyl (THP) group to provide (IV). A base hydrolysis of (IV), followed by deprotection at C-21 and esterification at the 16-carboxylate, gives (V), the 17-desoxy analogue of P16CM. 17alpha-Hydroxylation of (V) via the intermediate 17,20-enol acetate, using dilute peroxyacetic acid solution at low temperature, yields P16CM.

参考文献No.800161
标题:A novel class of local antiinflammatory steroids. 1st communication: Analogues of methyl 11beta,17alpha,21-trihydroxy-3,20-dioxopregna-1,4-diene-16alpha -carboxylate
作者:Teraporewala, I.B.; Kim, H.P.; Heiman, A.S.; Lee, H.J.
来源:Arzneim-Forsch Drug Res 1989,39821
合成路线图解说明:

P16CM is synthesized from prednisolone (I) via the key 16,17-dehydro intermediate (III). The compound (III) is prepared by literature procedures from prednisolone by its conversion to prednisolone 17,21-diacetate (II), followed by a potassium acetate-induced acyloxy elimination reaction. Michael addition to (III) with KCN provides the 21-acetoxy-16alpha-cyano compound, which is deprotected at C-21 and reprotected with a base-stable tetrahydropyranyl (THP) group to provide (IV). A base hydrolysis of (IV), followed by deprotection at C-21 and esterification at the 16-carboxylate, gives (V), the 17-desoxy analogue of P16CM. 17alpha-Hydroxylation of (V) via the intermediate 17,20-enol acetate, using dilute peroxyacetic acid solution at low temperature, yields P16CM.

参考文献No.800163
标题:
作者:Salce, L.; Hazen, G.C.; Schoenwaldt, E.F.
来源:J Org Chem 1970,351681
合成路线图解说明:

P16CM is synthesized from prednisolone (I) via the key 16,17-dehydro intermediate (III). The compound (III) is prepared by literature procedures from prednisolone by its conversion to prednisolone 17,21-diacetate (II), followed by a potassium acetate-induced acyloxy elimination reaction. Michael addition to (III) with KCN provides the 21-acetoxy-16alpha-cyano compound, which is deprotected at C-21 and reprotected with a base-stable tetrahydropyranyl (THP) group to provide (IV). A base hydrolysis of (IV), followed by deprotection at C-21 and esterification at the 16-carboxylate, gives (V), the 17-desoxy analogue of P16CM. 17alpha-Hydroxylation of (V) via the intermediate 17,20-enol acetate, using dilute peroxyacetic acid solution at low temperature, yields P16CM.

Drug Information Express,Drug R&D,Chemical Database,Patent Search.
Copyright © 2006-2026 Drug Future. All rights reserved.Contact Us