【药物名称】Ropivacaine hydrochloride, AL-281(anhydrous free base), LEA-103, Naropina, Anapaine, Naropin
化学结构式(Chemical Structure):
参考文献No.10023
标题:L-N-n-Propylpipecolic acid 2,6-xylidide
作者:T. af Ekenstam, B.; Bovin, C. (Astra L鋕emedel AB)
来源:US 4695576
合成路线图解说明:

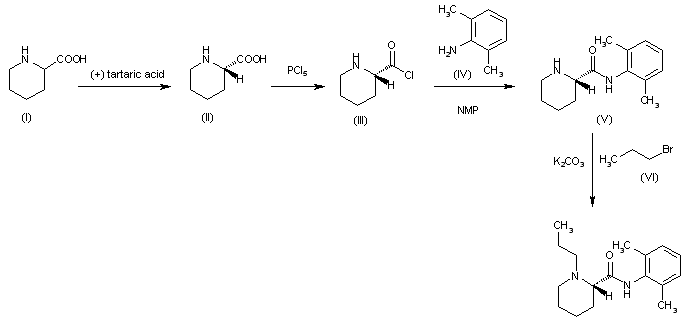
1) The optical resolution of pipecolic acid (I) with (+)-tartaric acid in water-ethanol gives L-pipecolic acid (II), which by reaction with Cl5P in acetyl chloride is converted to the acyl chloride (III). The condensation of (III) with 2,6-xylidine (IV) by means of N-methylpyrrolidone (NMP) in acetone affords L-pipecolic acid 2,6-xylidide (V), which is finally alkylated with propyl bromide (VI) and K2CO3 in hot isopropanol.

参考文献No.103349
标题:ROPIVACAINE HYDROCHLORIDE < Rec INNM >
作者:Prous, J.; Casta馿r, J.
来源:Drugs Fut 1989,14(8),767
合成路线图解说明:

1) The optical resolution of pipecolic acid (I) with (+)-tartaric acid in water-ethanol gives L-pipecolic acid (II), which by reaction with Cl5P in acetyl chloride is converted to the acyl chloride (III). The condensation of (III) with 2,6-xylidine (IV) by means of N-methylpyrrolidone (NMP) in acetone affords L-pipecolic acid 2,6-xylidide (V), which is finally alkylated with propyl bromide (VI) and K2CO3 in hot isopropanol.

合成路线图解说明:

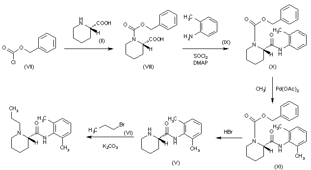
2) The protection of L-pipecolic acid (II) with benzyl chloroformate (VII) gives the benzyloxycarbonyl compound (VIII), which is condensed with o-toluidine (IX) by means of SOCl2 and dimethylaminopyridine (DMAP) yielding the amide (X). The methylation of (X) with methyl iodide and palladium diacetate in acetic acid affords the 2,6-xylidide (XI), which is deprotected with HBr in acetic acid to give L-pipecolic acid 2,6-xylidide (V). Finally, this compound is alkylated with propyl iodide and K2CO3 in acetonitrile.

合成路线图解说明:

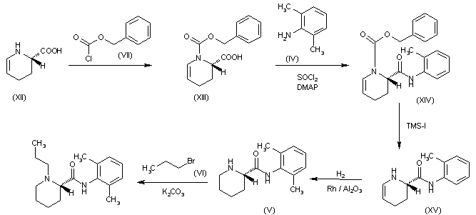
3) The protection of 1,2,3,6-tetrahydropyridine-2(S)-carboxylic acid (XII) with benzyl chloroformate (VII) gives the benzyloxycarbonyl derivative (XIII), which is condensed with 2,6-xylidine (IV) with SOCl2 and DMAP as before yielding the amide (XIV). Deprotection of (XIV) with iodotrimethylsilane in dichloromethane affords N-(2,6-dimethylphenyl)-1,2,3,6-tetrahydropyridine-2(S)-carboxamide (XV), which is reduced with H2 over Rh/Al2O3 in DMF giving the saturated amide (V). Finally, this compound is alkylated with propyl iodide and K2CO3 as before.

参考文献No.107818
标题:Synthesis of carbon-14 labelled ropivacaine, a local anaesthetic agent
作者:Sahlberg, C.
来源:J Label Compd Radiopharm 1987,24(5),529
合成路线图解说明:

2) The protection of L-pipecolic acid (II) with benzyl chloroformate (VII) gives the benzyloxycarbonyl compound (VIII), which is condensed with o-toluidine (IX) by means of SOCl2 and dimethylaminopyridine (DMAP) yielding the amide (X). The methylation of (X) with methyl iodide and palladium diacetate in acetic acid affords the 2,6-xylidide (XI), which is deprotected with HBr in acetic acid to give L-pipecolic acid 2,6-xylidide (V). Finally, this compound is alkylated with propyl iodide and K2CO3 in acetonitrile.

参考文献No.107819
标题:Synthesis of tritium labelled ropivacaine - A new potential local anaesthetic
作者:Gawell, L.
来源:J Label Compd Radiopharm 1987,24(5),521
合成路线图解说明:

3) The protection of 1,2,3,6-tetrahydropyridine-2(S)-carboxylic acid (XII) with benzyl chloroformate (VII) gives the benzyloxycarbonyl derivative (XIII), which is condensed with 2,6-xylidine (IV) with SOCl2 and DMAP as before yielding the amide (XIV). Deprotection of (XIV) with iodotrimethylsilane in dichloromethane affords N-(2,6-dimethylphenyl)-1,2,3,6-tetrahydropyridine-2(S)-carboxamide (XV), which is reduced with H2 over Rh/Al2O3 in DMF giving the saturated amide (V). Finally, this compound is alkylated with propyl iodide and K2CO3 as before.

Drug Information Express,Drug R&D,Chemical Database,Patent Search.
Copyright © 2006-2026 Drug Future. All rights reserved.Contact Us