【药物名称】Y-26611
化学结构式(Chemical Structure):
参考文献No.10157
标题:Quinolonecarboxylic acid cpds. and pharmaceutical use thereof
作者:Araki, K.; Kuroda, T.; Uemori, S.; Moriguchi, A.; Ikeda, Y. (Welfide Corporation)
来源:EP 0311948; US 4889857
合成路线图解说明:

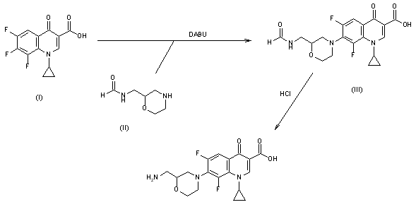
The condensation of 1-cyclopropyl-6,7,8-trifluoro-4-oxo-1,4-dihydroquinoline-3-carboxylic acid (I) with 2-(formylamino-methyl)- morpholine (II) by means of 1,8-diazabicyclo[5.4.0]-7-undecene (DABU) in refluxing acetonitrile gives the formamido derivative (III), which is then hydrolyzed with concentrated HCl in refluxing methanol.

参考文献No.164370
标题:Y-26611
作者:Casta馿r, J.; Prous, J.
来源:Drugs Fut 1992,17(2),114
合成路线图解说明:

The condensation of 1-cyclopropyl-6,7,8-trifluoro-4-oxo-1,4-dihydroquinoline-3-carboxylic acid (I) with 2-(formylamino-methyl)- morpholine (II) by means of 1,8-diazabicyclo[5.4.0]-7-undecene (DABU) in refluxing acetonitrile gives the formamido derivative (III), which is then hydrolyzed with concentrated HCl in refluxing methanol.

参考文献No.214881
标题:Quinolone antimicrobial agents substituted with morpholines at the 7-position. Syntheses and structure-activity relationships
作者:Araki, K.; Kuroda, T.; Uemori, S.; Moriguchi, A.; Ikeda, Y.; Hirayama, F.; Yokoyama, Y.; Iwao, E.; Yakushiji, T.
来源:J Med Chem 1993,36(10),1356
合成路线图解说明:

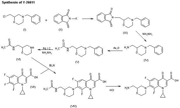
A new synthesis for Y-26611 has been reported: The reaction of 4-benzyl-2-(chloromethyl)morpholine (I) with potassium phthalimide (II) in refluxing DMF gives 4-benzyl-2-(phthalimidomethyl)morpholine (III), which is treated with hydrazine hydrate in refluxing ethanol yielding 2-(aminomethyl)-4-benzylmorpholine (IV). The acetylation of (IV) with acetic anhydride in cool toluene affords 2-(acetamidomethyl)-4-benzylmorpholine (V), which is debenzylated by hydrogenation with hydrazine hydrate over Pd/C in isopropanol to give 2-(acetamidomethyl)morpholine (VI). The condensation of (VI) with 1-cyclopropyl-6,7,8-trifluoro-4-oxo-1,4-dihydroquinoline-3-carboxylic acid (VII) by means of triethylamine in refluxing acetonitrile yields 7-[2-(acetamidomethyl)morpholin-4-yl]-1-cyclopropyl-6,8-difluoro-4-oxo-1,4-dihydroquinoline-3-carboxylic acid (VIII), which is finally deacetylated with refluxing aqueous HCl.

Drug Information Express,Drug R&D,Chemical Database,Patent Search.
Copyright © 2006-2026 Drug Future. All rights reserved.Contact Us