【药物名称】Arteflene, Ro-42-1611
化学结构式(Chemical Structure):
参考文献No.10154
标题:Bicyclic peroxide
作者:Hofheinz, W.; Schmid, G.; Stohler, H. (F. Hoffmann-La Roche AG)
来源:AU 8823596; EP 0311955; JP 1989132578; US 4977184
合成路线图解说明:

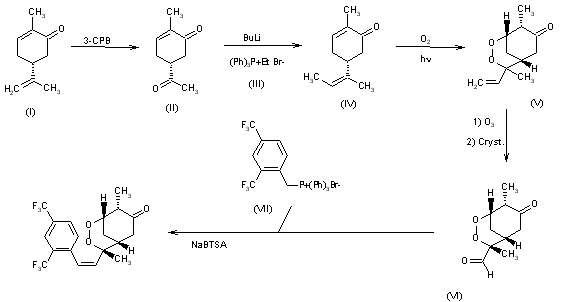
The oxidation of (5R)-(-)-carvone (I) with 3-chloroperbenzoic acid (3-CPB) in dichloromethane gives 5(R)-acetyl-2-methyl-2-cyclohexen-1-one (II), which is condensed with ethyltriphenylphosphonium bromide (III) by means of butyllithium in THF yielding 2-methyl-5(Z)-(1-methyl-1-propenyl)-2-cyclohexen-1-one (IV). The photochemical oxidation of (IV) in acetonitrile catalyzed by methylene blue affords (1R,4RS,5R,8S)-4,8-dimethyl-4-vinyl-2,3-dioxabicyclo[3.3.1]nonan-7-one (V), which is ozonolyzed with O3 in methanol to the corresponding aldehyde as a mixture of enantiomers, which is submitted to crystallization giving the (1S,4R,5R,8S)-isomer (VI). Finally, this compound is submitted to a Wittig condensation with 2,4-bis(trifluoromethyl)benzyltriphenylphosphonium bromide (VII) by means of sodium bis(trimethylsilyl)amide (NaBTSA) in dichloromethane.

参考文献No.277451
标题:Ro 42-1611 (arteflene), a neweffective antimalarial: Chemical structure and biological activity
作者:Hofheinz, W.; B黵gin, H.; Gocke, H.; Jaquet, C.; Masciadri, R.; Schmid, G.; Stohler, H.; Urwyler, H.
来源:Trop Med Parasitol 1994,45(3),261-5
合成路线图解说明:

The oxidation of (5R)-(-)-carvone (I) with 3-chloroperbenzoic acid (3-CPB) in dichloromethane gives 5(R)-acetyl-2-methyl-2-cyclohexen-1-one (II), which is condensed with ethyltriphenylphosphonium bromide (III) by means of butyllithium in THF yielding 2-methyl-5(Z)-(1-methyl-1-propenyl)-2-cyclohexen-1-one (IV). The photochemical oxidation of (IV) in acetonitrile catalyzed by methylene blue affords (1R,4RS,5R,8S)-4,8-dimethyl-4-vinyl-2,3-dioxabicyclo[3.3.1]nonan-7-one (V), which is ozonolyzed with O3 in methanol to the corresponding aldehyde as a mixture of enantiomers, which is submitted to crystallization giving the (1S,4R,5R,8S)-isomer (VI). Finally, this compound is submitted to a Wittig condensation with 2,4-bis(trifluoromethyl)benzyltriphenylphosphonium bromide (VII) by means of sodium bis(trimethylsilyl)amide (NaBTSA) in dichloromethane.

参考文献No.294373
标题:Arteflene
作者:Rabasseda, X.; Mealy, N.; Casta馿r, J.
来源:Drugs Fut 1995,20(4),341
合成路线图解说明:

The oxidation of (5R)-(-)-carvone (I) with 3-chloroperbenzoic acid (3-CPB) in dichloromethane gives 5(R)-acetyl-2-methyl-2-cyclohexen-1-one (II), which is condensed with ethyltriphenylphosphonium bromide (III) by means of butyllithium in THF yielding 2-methyl-5(Z)-(1-methyl-1-propenyl)-2-cyclohexen-1-one (IV). The photochemical oxidation of (IV) in acetonitrile catalyzed by methylene blue affords (1R,4RS,5R,8S)-4,8-dimethyl-4-vinyl-2,3-dioxabicyclo[3.3.1]nonan-7-one (V), which is ozonolyzed with O3 in methanol to the corresponding aldehyde as a mixture of enantiomers, which is submitted to crystallization giving the (1S,4R,5R,8S)-isomer (VI). Finally, this compound is submitted to a Wittig condensation with 2,4-bis(trifluoromethyl)benzyltriphenylphosphonium bromide (VII) by means of sodium bis(trimethylsilyl)amide (NaBTSA) in dichloromethane.

Drug Information Express,Drug R&D,Chemical Database,Patent Search.
Copyright © 2006-2026 Drug Future. All rights reserved.Contact Us