【药物名称】Lanperisone hydrochloride, NK-433
化学结构式(Chemical Structure):
参考文献No.8220
标题:An optically active propanone deriv. and process for producing the same and use thereof
作者:Shiozawa, A.; Ishikawa, M.; Sugimura, H.; Yamamoto, H.; Sakasai, T.; Ohtsuki, K.; Kurashige, S. (Nippon Kayaku Co., Ltd.)
来源:EP 0266577; JP 1989131171
合成路线图解说明:

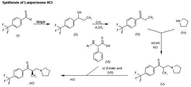
The Grignard reaction of 4-(trifluoromethyl)benzaldehyde (I) with ethylmagnesium bromide in ethyl ether gives 1-[4-(trifluoromethyl)phenyl]-1-propanol (II), which is oxidized with CrO3/H2SO4 yielding 4-(trifluoromethyl)propiophenone (III). The condensation of (III) with pyrrolidine (IV) and paraformaldehyde by means of HCl in refluxing isopropanol affords racemic 2-methyl-3-(1-pyrrolidinyl)propiophenone (V), which is finally submitted to optical resolution with N-acetyl-L-phenylglycine (VI) or D-malic acid (VII) and treated with dry HCl gas.

参考文献No.291739
标题:Synthesis and activity of 2-methyl-3-aminopropiophenones as centrally acting muscle relaxants
作者:Kurashige, S.; Izumi, G.; Shiozawa, A.; Narita, K.; Sakitama, K.; Ishikawa, M.
来源:Eur J Med Chem 1995,30(1),85-94
合成路线图解说明:

The Grignard reaction of 4-(trifluoromethyl)benzaldehyde (I) with ethylmagnesium bromide in ethyl ether gives 1-[4-(trifluoromethyl)phenyl]-1-propanol (II), which is oxidized with CrO3/H2SO4 yielding 4-(trifluoromethyl)propiophenone (III). The condensation of (III) with pyrrolidine (IV) and paraformaldehyde by means of HCl in refluxing isopropanol affords racemic 2-methyl-3-(1-pyrrolidinyl)propiophenone (V), which is finally submitted to optical resolution with N-acetyl-L-phenylglycine (VI) or D-malic acid (VII) and treated with dry HCl gas.

参考文献No.457484
标题:Lanperisone Hydrochloride
作者:Wroblewskki, T.; Casta馿r, J.; Leeson, P.
来源:Drugs Fut 1998,23(5),485
合成路线图解说明:

The Grignard reaction of 4-(trifluoromethyl)benzaldehyde (I) with ethylmagnesium bromide in ethyl ether gives 1-[4-(trifluoromethyl)phenyl]-1-propanol (II), which is oxidized with CrO3/H2SO4 yielding 4-(trifluoromethyl)propiophenone (III). The condensation of (III) with pyrrolidine (IV) and paraformaldehyde by means of HCl in refluxing isopropanol affords racemic 2-methyl-3-(1-pyrrolidinyl)propiophenone (V), which is finally submitted to optical resolution with N-acetyl-L-phenylglycine (VI) or D-malic acid (VII) and treated with dry HCl gas.

Drug Information Express,Drug R&D,Chemical Database,Patent Search.
Copyright © 2006-2026 Drug Future. All rights reserved.Contact Us