【药物名称】AGN-190383
化学结构式(Chemical Structure):
参考文献No.9525
标题:Anti-inflammatory furanones
作者:Bonfiglio, J.N.; Garst, M.E.; Lee, G.C.M.; Tallman, E.A. (Allergan, Inc.)
来源:AU 8817365; EP 0295056; JP 1989013078
合成路线图解说明:

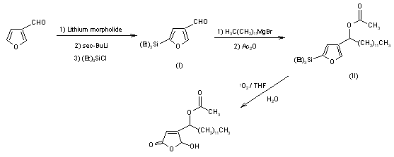
Addition of dodecylmagnesium bromide to 5-triethylsilyl-3-furaldehyde (I) followed by in situ acetylation using acetic anhydride gives 4-(1-acetoxytridecyl)-2-triethylsilylfuran (II). Singlet oxygen oxidation of (II) in THF, in the presence of water, gives AGN-190383.

参考文献No.113953
标题:A novel synthesis of 2,4-substituted furans
作者:Lee, G.C.M.; Holmes, J.M.; Garst, M.E.
来源:198th ACS Natl Meet (Sept 10-15, Miami Beach) 1989,Abst ORGN 194
合成路线图解说明:

Addition of dodecylmagnesium bromide to 5-triethylsilyl-3-furaldehyde (I) followed by in situ acetylation using acetic anhydride gives 4-(1-acetoxytridecyl)-2-triethylsilylfuran (II). Singlet oxygen oxidation of (II) in THF, in the presence of water, gives AGN-190383.

参考文献No.127723
标题:AGN-190383
作者:Lee, G.; De Vries, G.; Harcourt, D.; Holmes, J.; Amdahl, L.; Syage, E.; Wenzel, M.; Wheeler, L.; Garst, M.
来源:Drugs Fut 1990,15(6),561
合成路线图解说明:

Addition of dodecylmagnesium bromide to 5-triethylsilyl-3-furaldehyde (I) followed by in situ acetylation using acetic anhydride gives 4-(1-acetoxytridecyl)-2-triethylsilylfuran (II). Singlet oxygen oxidation of (II) in THF, in the presence of water, gives AGN-190383.

参考文献No.900008
标题:Process for preparing 5-substituted-3,-furaldehyde
作者:Lee, G.C.M. (Allergan, Inc.)
来源:EP Appl. 89310601; US 259225
合成路线图解说明:

Addition of dodecylmagnesium bromide to 5-triethylsilyl-3-furaldehyde (I) followed by in situ acetylation using acetic anhydride gives 4-(1-acetoxytridecyl)-2-triethylsilylfuran (II). Singlet oxygen oxidation of (II) in THF, in the presence of water, gives AGN-190383.

Drug Information Express,Drug R&D,Chemical Database,Patent Search.
Copyright © 2006-2026 Drug Future. All rights reserved.Contact Us