【药物名称】Mivobulin isethionate, NSC-635370 [(1:1) salt], NSC-370147(racemic hydrate), NSC-350386(racemic HCl hydrate), NSC-613863 [(+)-(R)-isomer], CI-980, NSC-613862(free base)
化学结构式(Chemical Structure):
参考文献No.11272
标题:(2S)-(5-Amino-1,2-dihydro-2-methyl-3-phenyl-pyrido[3,4-b]pyrazin-7-yl)-carbamic acid, ethyl ester
作者:Carroll, T.G. Jr. (Southern Research Institute)
来源:EP 0336345; JP 1989305087; US 4866059
合成路线图解说明:

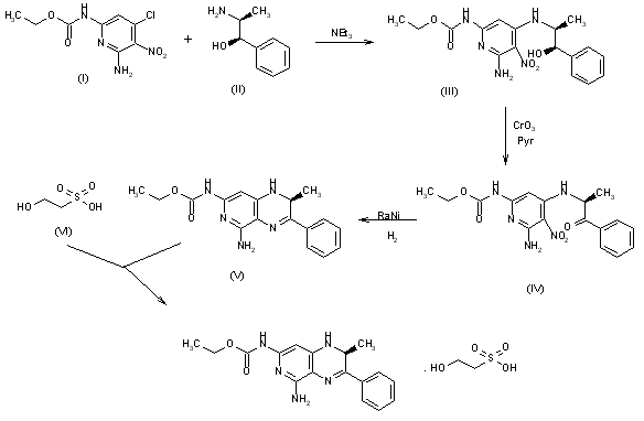
Synthesis of CI-980: The condensation of N-(2-amino-4-chloro-3-nitropyridin-6-yl)carbamic acid ethyl ester (I) with (1R,2S)-2-amino-1-phenyl-1-propanol (II) by means of triethylamine in refluxing ethanol gives (1S,2R)-N-[2-amino-4-(2-hydroxy-1-methyl-2-phenylethylamino)-3-nitropyridin-6-yl]carbamic acid ethyl ester (III), which is oxidized with CrO3-pyridine in dichloromethane yielding the corresponding ketone (IV). The reductocyclization of (IV) with H2 over RaNi in glacial acetic acid affords the free base of title compound (V), which is finally treated with 2-hydroxyethanesulfonic acid in methanol.

参考文献No.242430
标题:Synthesis of [3H]CI-980, ethyl[5-amino-1,2-dihydro-2(S)-methyl-3(3-[3H]phenyl)pyrido[3,4-b] pyrazin-7-yl]carbamate isethionate salt, a tubulin-binding, antimitotic, broad-spectrum antitumor agent
作者:Lee, H.T.; Woo, P.W.K.
来源:J Label Compd Radiopharm 1994,34(1),11-16
合成路线图解说明:

3) Synthesis of [3H]-labeled CI-980: The reaction of butyllithium with m-dibromobenene (XVII) in ether gives the monolithium derivative (XVIII), which is condensed with N-(ethoxycarbonyl)-L-alanine (VII) yielding the carbamate (XIX). The reduction of (XIX) with NaBH4 in methanol affords the hydroxylated carbamate (XX), which is treated with NaOH in methanol to give the aminoalcohol (XXI). The condensation of N-(2-amino-4-chloro-3-nitropyridin-6-yl)carbamic acid ethyl ester (I) with 2(S)-amino-1-(3-bromophenyl)-1-propanol (XXI) by means of triethylamine in refluxing ethanol gives N-[2-amino-4-[2-(3-bromophenyl)-2-hydroxy-1(S)-methylethylamino]-3-nitropyridin-6-yl]carbamic acid ethyl ester (XXII), which is oxidized with CrO3-pyridine in dichloromethane yielding the corresponding ketone (XXIII). The reductocyclization of (XXIII) with Fe and acetic acid affords the 3-bromo analogue of CI-980 (XXIV), which is finally hydrogenated with 3H2 over Pd/C in THF, and treated with 2-hydroxyethanesulfonic acid in methanol.

参考文献No.242889
标题:Synthesis of [14C]CI-980, ethyl [5-amino-1,2-dihydro-2(S)-methyl-3-[14C]phenylpyrido[3,4-b]pyrazin-7 -yl]carbamate isethionate salt, a tubulin-binding, antimitotic, broad-spectrum antitumor agent
作者:Woo, P.W.K.; Lee, H.T.
来源:J Label Compd Radiopharm 1994,34(1),1-10
合成路线图解说明:

Synthesis of [14C]-labeled CI-980: The reaction of N-(ethoxycarbonyl)-L-alanine (VII) with N-methoxy-N-methylamine (VIII) by means of carbonyldiimidazole (CDI) in THF/dichloromethane gives the corresponding amide (IX), which is treated with phenylmagnesium bromide (1 mol) yielding the bromomagnesium salt (X). The bromination of [14C]-labeled benzene (XI) with Br2/HBr/H2O2 gives the labeled bromobenzene (XII), which is converted into the corresponding Grignard reagent (XIII) by reaction with Mg and dibromoethane in ether. The reaction of the previously obtained magnesium salt of alaninamide (X) with the labeled Grignard reagent (XIII) affords the labeled carbamate (XIV), which is reduced with NaBH4 in methanol and treated with KOH giving a mixture of the oxazolidinone (XV) and the aminoalcohol (XVI), separated by acidic extraction. The hydrolysis of the oxazolidinone (XV) with KOH yielded the desired aminoalcohol (XVI). The aminoalcohol (XVI) by means of triethylamine in refluxing ethanol gives (1S,2R)-N-[2-amino-4-(2-hydroxy-1-methyl-2-phenylethylamino)-3-nitropyridin-6-yl]carbamic acid ethyl ester (XVII), which is oxidized with CrO3-pyridine in dichloromethane yielding the corresponding ketone (XVIII). The reductocyclization of (XVIII) with H2 over RaNi in glacial acetic acid affords the free base of title compound (XIX), which is finally treated with 2-hydroxyethanesulfonic acid in methanol.

参考文献No.423210
标题:Mivobulin Isethionate
作者:Graul, A.; Martell, A.M.; Casta馿r, J.
来源:Drugs Fut 1997,22(9),980
合成路线图解说明:

Synthesis of CI-980: The condensation of N-(2-amino-4-chloro-3-nitropyridin-6-yl)carbamic acid ethyl ester (I) with (1R,2S)-2-amino-1-phenyl-1-propanol (II) by means of triethylamine in refluxing ethanol gives (1S,2R)-N-[2-amino-4-(2-hydroxy-1-methyl-2-phenylethylamino)-3-nitropyridin-6-yl]carbamic acid ethyl ester (III), which is oxidized with CrO3-pyridine in dichloromethane yielding the corresponding ketone (IV). The reductocyclization of (IV) with H2 over RaNi in glacial acetic acid affords the free base of title compound (V), which is finally treated with 2-hydroxyethanesulfonic acid in methanol.

合成路线图解说明:

Synthesis of [14C]-labeled CI-980: The reaction of N-(ethoxycarbonyl)-L-alanine (VII) with N-methoxy-N-methylamine (VIII) by means of carbonyldiimidazole (CDI) in THF/dichloromethane gives the corresponding amide (IX), which is treated with phenylmagnesium bromide (1 mol) yielding the bromomagnesium salt (X). The bromination of [14C]-labeled benzene (XI) with Br2/HBr/H2O2 gives the labeled bromobenzene (XII), which is converted into the corresponding Grignard reagent (XIII) by reaction with Mg and dibromoethane in ether. The reaction of the previously obtained magnesium salt of alaninamide (X) with the labeled Grignard reagent (XIII) affords the labeled carbamate (XIV), which is reduced with NaBH4 in methanol and treated with KOH giving a mixture of the oxazolidinone (XV) and the aminoalcohol (XVI), separated by acidic extraction. The hydrolysis of the oxazolidinone (XV) with KOH yielded the desired aminoalcohol (XVI). The aminoalcohol (XVI) by means of triethylamine in refluxing ethanol gives (1S,2R)-N-[2-amino-4-(2-hydroxy-1-methyl-2-phenylethylamino)-3-nitropyridin-6-yl]carbamic acid ethyl ester (XVII), which is oxidized with CrO3-pyridine in dichloromethane yielding the corresponding ketone (XVIII). The reductocyclization of (XVIII) with H2 over RaNi in glacial acetic acid affords the free base of title compound (XIX), which is finally treated with 2-hydroxyethanesulfonic acid in methanol.

合成路线图解说明:

3) Synthesis of [3H]-labeled CI-980: The reaction of butyllithium with m-dibromobenene (XVII) in ether gives the monolithium derivative (XVIII), which is condensed with N-(ethoxycarbonyl)-L-alanine (VII) yielding the carbamate (XIX). The reduction of (XIX) with NaBH4 in methanol affords the hydroxylated carbamate (XX), which is treated with NaOH in methanol to give the aminoalcohol (XXI). The condensation of N-(2-amino-4-chloro-3-nitropyridin-6-yl)carbamic acid ethyl ester (I) with 2(S)-amino-1-(3-bromophenyl)-1-propanol (XXI) by means of triethylamine in refluxing ethanol gives N-[2-amino-4-[2-(3-bromophenyl)-2-hydroxy-1(S)-methylethylamino]-3-nitropyridin-6-yl]carbamic acid ethyl ester (XXII), which is oxidized with CrO3-pyridine in dichloromethane yielding the corresponding ketone (XXIII). The reductocyclization of (XXIII) with Fe and acetic acid affords the 3-bromo analogue of CI-980 (XXIV), which is finally hydrogenated with 3H2 over Pd/C in THF, and treated with 2-hydroxyethanesulfonic acid in methanol.

Drug Information Express,Drug R&D,Chemical Database,Patent Search.
Copyright © 2006-2026 Drug Future. All rights reserved.Contact Us