【药物名称】Carzelesin, NSC-619029, U-80244
化学结构式(Chemical Structure):
参考文献No.8482
标题:Novel CC-1065 analogs
作者:Kelly, R.C.; Martin, D.G.; Aristoff, P.A. (Pharmacia Corp.)
来源:AU 8812290; EP 0340243; WO 8804659
合成路线图解说明:

By condensation of (S)-N-[2-[1-(chloromethyl)-5-hydroxy-8-methyl-1,2,3,6-tetrahydrobenzo [1,2-b:4,3-b']dipyrrol-3-ylcarbonyl]-1H-indol-5-yl]-6-(diethylamino) benzofuran-2-carboxamide (I) with phenyl isocyanate (II) by means of triethylamine in THF.

合成路线图解说明:

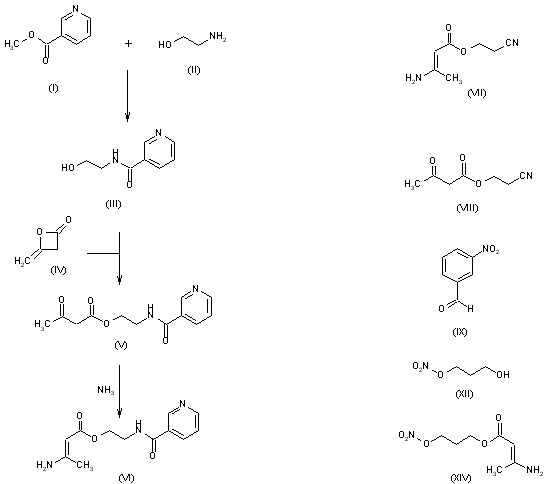
The starting products are prepared as follows: The reaction of pyridine-3-carboxylic acid methyl ester (I) with ethanolamine (II) gives the 2-hydroxyethylamide (III), which by reaction with diketene in THF yields the corresponding acetoacetic ester (V). The reaction of (V) with ammonia in THF affords the expected 3-aminocrotonate ester (VI).

合成路线图解说明:

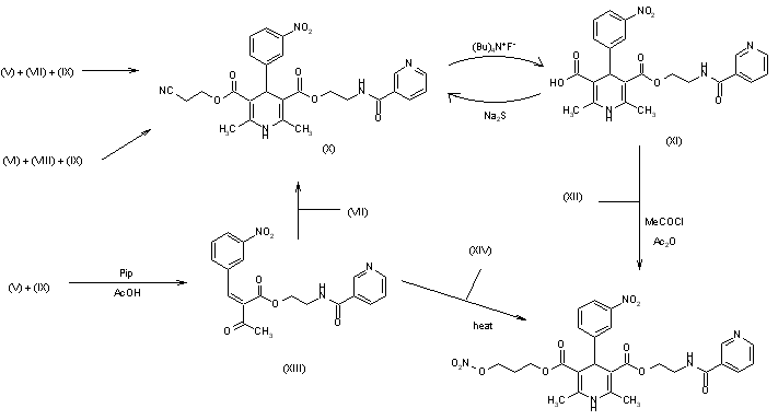
CD-832.HCl can be obtained by several different ways: 1) The cyclization of benzaldehyde (IX) with acetoacetate (V) and crotonate (VII) in refluxing isopropanol gives 2,6-dimethyl-4-(3-nitrophenyl)-1,4-dihydropyridine-3,5-dicarboxylic acid 3-(2-cyanoethyl) 5-[2-(3-pyridylcarboxamido)ethyl] diester (X), which by reaction with tetrabutylammonium fluoride in THF/DMF, or with Na2S in dichloromethane/methanol, eliminates vinyl cyanide yielding the dihydropyridine monoester (XI). Finally, this compound is esterified with (XII) by means of acetyl chloride and acetic anhydride in dichloromethan). 2) The cyclization of benzaldehyde (IX) with crotonate (VI) and acetoacetate (VIII) as before also gives dihydropyridine (X). 3) The reaction of benzaldehyde (IX) with acetoacetate (V) by means of piperidinium acetate in refluxing benzene gives the corresponding 3-nitrobenzylidene derivative (XIII), which is then cyclized with crotonate (VII) to afford the previously obtained dihydropyridine (X). 4) The reaction of benzaldehyde (IX) with acetoacetate (V) by means of piperidinium acetate in refluxing benzene gives the 3-nitrobenzylidene derivative (XIII), which is then cyclized with 3-aminocrotonic acid ester (XIV) in refluxing isopropanol.

参考文献No.348679
标题:Carzelesin
作者:Mealy, N.; Casta馿r, J.
来源:Drugs Fut 1996,21(3),245
合成路线图解说明:

By condensation of (S)-N-[2-[1-(chloromethyl)-5-hydroxy-8-methyl-1,2,3,6-tetrahydrobenzo [1,2-b:4,3-b']dipyrrol-3-ylcarbonyl]-1H-indol-5-yl]-6-(diethylamino) benzofuran-2-carboxamide (I) with phenyl isocyanate (II) by means of triethylamine in THF.

参考文献No.680032
标题:Novel syntheses of optically active CC-1065, U-73,975 (adozelesin), U-80,244 (carzelesin), U-77,779 (bizelesin), KW-2189, and DU-86
作者:Fukuda, Y.; et al.
来源:Heterocycles 1997,45(12),2303
合成路线图解说明:

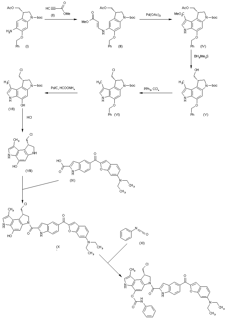
The reaction of indoline (I) with propynoic acid methyl ester (II) in methanol gives the acrylic acid derivative (III), which is cyclized by means of Pd(OAc)2 in DMA to yield the pyrroloindole (IV). The reduction of the ester group of (IV) by means of BH3/Me2S in refluxing THF affords intermediate (V), which is treated with CCl4 and PPh3 to provide the chloromethyl derivative (VI). The O-deprotection in (VI) by means of HCOONH4 and Pd/C in THF gives the hydroxy compound (VII), which is N-deprotected by means of HCl in ethyl acetate to yield the pyrroloindole (VIII). The condensation of (VIII) with the known indole carboxylic acid (IX) by means of EDC in DMF affords the carboxamide (X), which is treated with phenyl isocyanate (XI) and TEA in THF to provide the target Carzelesin.

合成路线图解说明:

The intermediate pyrroloindole (VIII) was prepared from the previously reported (S)-aminoindoline (I). Michael addition of methyl propiolate (II) to aminoindoline (I) in MeOH provided the aminoacrylate (IIIa-b). Oxidative cyclization of (IIIa-b) was effected with Pd(OAc)2 in DMA to afford the 3-(methoxycarbonyl)pyrroloindole (IV). Simultaneous reduction of both the methyl ester and acetate groups of (IV) with borane-dimethyl sulfide complex gave rise to alcohol (V). Chlorination of (V) to give the chloromethyl derivative (VI) was carried out by treatment with triphenylphosphine and carbon tetrachloride. The O-benzyl protecting group of (VI) was subsequently removed by transfer hydrogenolysis yielding phenol (VII). The N-Boc group of (VII) was then cleaved under acidic conditions to furnish (VIII).

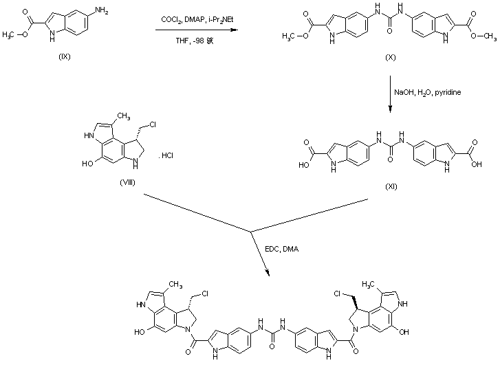
合成路线图解说明:

Condensation of 5-aminoindole-2-carboxylic acid ethyl ester (IX) with phosgene at very low temperature furnished the N,N'-bis(indolyl)urea (X). Subsequent basic hydrolysis of the ethyl ester groups of (X) gave diacid (XI). This was finally coupled with the intermediate pyrroloindole (VIII) by means of EDC to provide the title diamide.

合成路线图解说明:

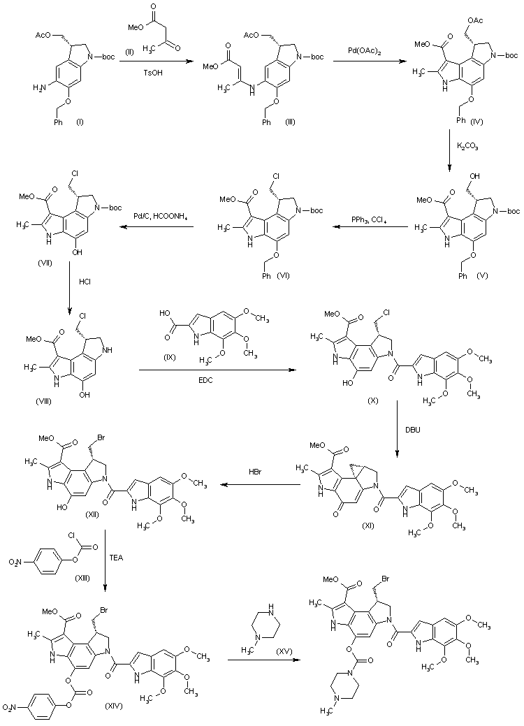
The condensation of indoline (I) with methyl acetoacetate (II) by means of Ts-OH in refluxing benzene gives the adduct (III), which is cyclized by means of Pd(OAc)2 in hot DMA to yield the pyrroloindole (IV). The hydrolysis of the acetate group of (IV) by means of K2CO3 in methanol affords the hydroxymethyl compound (V), which is treated with CCl4 and PPh3 to provide the chloromethyl derivative (VI). The cleavage of the benzyl protecting group of (VI) by means of HCOONH4 and Pd/C in THF gives the hydroxy derivative (VII), which is N-deprotected by means of HCl in ethyl acetate to yield the intermediate (VIII). The condensation of (VIII) with 5,6,7-trimethoxy-1H-indole-2-carboxylic acid (IX) by means of EDC in DMF affords the carboxamide (X), which is treated with DBU in acetonitrile to provide the cyclopropapyrroloindole (XI). The reaction of (XI) with HBr in acetonitrile gives the bromomethyl derivative (XII), which is treated with 4-nitrophenyl chloroformate (XIII) to yield the active carbonate ester (XIV). Finally, this compound is treated with 1-methylpiperazine (XV) to provide the target Pibrozelesin.

Drug Information Express,Drug R&D,Chemical Database,Patent Search.
Copyright © 2006-2026 Drug Future. All rights reserved.Contact Us