【药物名称】Z-4105
化学结构式(Chemical Structure):
参考文献No.9505
标题:Isoxazoles with nootropic activity
作者:Carenzi, A.; Chiarino, D.; Della Bella, D.; Napoletano, M.; Sala, A. (Zambon Group SpA)
来源:AU 8817869; EP 0317588; JP 1990500365; US 4985428; WO 8809330
合成路线图解说明:

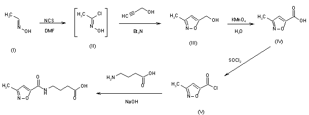
Z-4105 was prepared according to the reaction sequence as follows: The isoxazole intermediate (III) was obtained by one-pot 1,3-dipolar cycloaddition between acetonitrile oxide, in situ generated from chlorooxime (II), and propargyl alcohol. The oxidation of compound (III) with potassium permanganate gave the acid (IV), which was subsequently converted into the acid chloride (V) by Burdett's method. Finally, Z-4105 was synthesized from (V) and gamma-aminobutyric acid by means of Schotten-Baumann procedure.

参考文献No.302215
标题:Z-4105
作者:Fusi, R.; Luperi, L.; Napoletano, M.; Ricciardi, S.; Masotto, C.
来源:Drugs Fut 1995,20(6),584
合成路线图解说明:

Z-4105 was prepared according to the reaction sequence as follows: The isoxazole intermediate (III) was obtained by one-pot 1,3-dipolar cycloaddition between acetonitrile oxide, in situ generated from chlorooxime (II), and propargyl alcohol. The oxidation of compound (III) with potassium permanganate gave the acid (IV), which was subsequently converted into the acid chloride (V) by Burdett's method. Finally, Z-4105 was synthesized from (V) and gamma-aminobutyric acid by means of Schotten-Baumann procedure.

参考文献No.801567
标题:Aliphatic chloro oximes and their application in the synthesis of isoxazole and beta-furanone systems
作者:Casnati, G.; Ricca, A.
来源:Tetrahedron Lett 1967,4327-30
合成路线图解说明:

Z-4105 was prepared according to the reaction sequence as follows: The isoxazole intermediate (III) was obtained by one-pot 1,3-dipolar cycloaddition between acetonitrile oxide, in situ generated from chlorooxime (II), and propargyl alcohol. The oxidation of compound (III) with potassium permanganate gave the acid (IV), which was subsequently converted into the acid chloride (V) by Burdett's method. Finally, Z-4105 was synthesized from (V) and gamma-aminobutyric acid by means of Schotten-Baumann procedure.

参考文献No.801568
标题:An improved acid chloride preparation via phase transfer catalysis
作者:Burdett, K.A.
来源:Synthesis 1991,441-2
合成路线图解说明:

Z-4105 was prepared according to the reaction sequence as follows: The isoxazole intermediate (III) was obtained by one-pot 1,3-dipolar cycloaddition between acetonitrile oxide, in situ generated from chlorooxime (II), and propargyl alcohol. The oxidation of compound (III) with potassium permanganate gave the acid (IV), which was subsequently converted into the acid chloride (V) by Burdett's method. Finally, Z-4105 was synthesized from (V) and gamma-aminobutyric acid by means of Schotten-Baumann procedure.

Drug Information Express,Drug R&D,Chemical Database,Patent Search.
Copyright © 2006-2026 Drug Future. All rights reserved.Contact Us