【药物名称】Valaciclovir, Valacyclovir, ValACV, BW-256U, 256U87, Virval, Zelitrex, Valtrex(HCl)
化学结构式(Chemical Structure):
参考文献No.10068
标题:Therapeutic nucleosides
作者:Krenitsky, T.A.; Beauchamp, L.M. (GlaxoSmithKline plc)
来源:AU 8820978; EP 0308065; EP 0596542; JP 1989068373; JP 1991115284; US 4957924; US 5061708
合成路线图解说明:

Acyclovir (I) was coupled with N-Cbz-L-valine (II) in the presence of DCC and DMAP to afford the Cbz-protected valyl ester (III). The N-benzyloxycarbonyl group of (III) was then removed by either hydrogenation over Pd/C or by transfer hydrogenation in the presence of formic acid.

参考文献No.57812
标题:Guanine deriv.
作者:Partin, J.M.; Winnike, R.A.; Carter, B.H.; Lake, P.G.; Varlashkin, P.G.; Grubb, W.B. III; Conway, G.A.; Skinner, D.M.; Whatrup, D.J. (GlaxoSmithKline plc)
来源:WO 9622291
合成路线图解说明:

Acyclovir (I) was coupled with N-Cbz-L-valine (II) in the presence of DCC and DMAP to afford the Cbz-protected valyl ester (III). The N-benzyloxycarbonyl group of (III) was then removed by either hydrogenation over Pd/C or by transfer hydrogenation in the presence of formic acid.

参考文献No.57813
标题:Process of preparation of valacyclovir and relevant intermediates
作者:Montoro, M.; Pirovano, S.
来源:WO 9803553
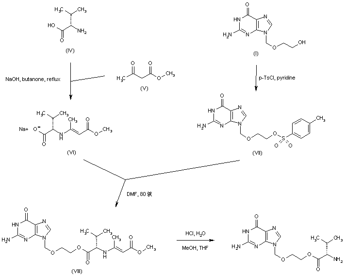
合成路线图解说明:

In an alternative procedure, condensation of L-valine (IV) with methyl acetoacetate (V) in the presence of NaOH produced the enamine-protected valine sodium salt (VI). Condensation of (VI) with the tosylate (VII), (prepared from acyclovir (I) and tosyl chloride) afforded ester (VIII). Then, acidic hydrolysis of the enaminoester moiety of (VIII) furnished the target valine ester. Similar procedures were also reported using omega-mesyl and omega-chloro acyclovir.

参考文献No.62443
标题:Synthesis and purification of valacyclovir
作者:Pertsikov, B.; Etinger, M.Y.; Yuzefovich, M.; Nisnevich, G.A.; Tishin, B.; Blasberger, D.; Yudovich, L.M.; Dolitzki, B.Z. (Teva Pharmaceutical Industries Ltd.; Teva Pharmaceuticals USA, Inc.)
来源:WO 0341647
合成路线图解说明:

The esterification of acyclovir (I) with N-(tert-butoxycarbonyl)-L-valine (II) by means of EDC, TEA and DMAP in DMF gives the corresponding ester (III) which is finally deprotected by means of HCl in water to afford the target valacyclovir.

参考文献No.185302
标题:Amino acid ester prodrugs of acyclovir
作者:Beauchamp, L.M.; et al.
来源:Antivir Chem Chemother 1992,3(3),157
合成路线图解说明:

Acyclovir (I) was coupled with N-Cbz-L-valine (II) in the presence of DCC and DMAP to afford the Cbz-protected valyl ester (III). The N-benzyloxycarbonyl group of (III) was then removed by either hydrogenation over Pd/C or by transfer hydrogenation in the presence of formic acid.

参考文献No.641743
标题:Transport of acyclovir ester prodrugs through rabbit cornea and SIRC-rabbit corneal epithelial cell line
作者:Tak, R.V.; et al.
来源:J Pharm Sci 2001,90(10),1505
合成路线图解说明:

Acyclovir (I) was coupled with N-Cbz-L-valine (II) in the presence of DCC and DMAP to afford the Cbz-protected valyl ester (III). The N-benzyloxycarbonyl group of (III) was then removed by either hydrogenation over Pd/C or by transfer hydrogenation in the presence of formic acid.

Drug Information Express,Drug R&D,Chemical Database,Patent Search.
Copyright © 2006-2026 Drug Future. All rights reserved.Contact Us