【药物名称】Itameline, RU-47213
化学结构式(Chemical Structure):
参考文献No.251656
标题:RU 47213
作者:Barzaghi, F.; Galliani, G.; Toja, E.
来源:Drugs Fut 1994,19(5),454
合成路线图解说明:

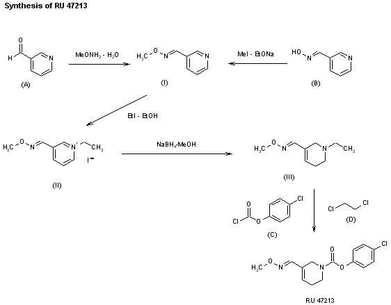
Pyridine-3-carboxaldehyde O-methyloxime (I) is prepared either by methylation of 3-pyridinealdoxime sodium salt or by condensation of 3-pyridinecarboxaldehyde with methoxylamine in water. Quaternization of (I) with ethyl iodide gives 3-(methoxyiminomethyl)-1-ethylpyridinium iodide (II), which is reduced by means of sodium borohydride in methanol to 1-ethyl-1,2,5,6-tetrahydropyridine-3-carboxaldehyde O-methyloxime (III). Cleavage of the ethyl group is obtained by reaction with 4-chlorophenylchloroformate in refluxing dichloroethane to yield RU 47213. Ru 47213 is obtained as pure (E)-isomer. Under UV irradiation in toluene it is partially converted into the sterically unfavored (Z)-isomer.

Drug Information Express,Drug R&D,Chemical Database,Patent Search.
Copyright © 2006-2026 Drug Future. All rights reserved.Contact Us