【药物名称】Topotecan hydrochloride, E-89/001, NSC-609699, SK&F-S-104864-A, Evotropin, Hycamtin
化学结构式(Chemical Structure):
参考文献No.10756
标题:Water soluble camptothecin analogs
作者:Boehm, J.C.; Johnson, R.K.; Hecht, S.M.; Kingsbury, W.D.; Holden, K.G. (SmithKline Beecham plc)
来源:AU 8826394; EP 0321122; JP 1989186893; US 5004758
合成路线图解说明:

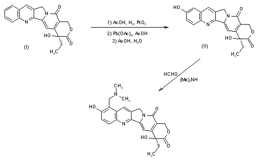
The reduction of camptothecin (I) with H2 over PtO2 in acetic acid, followed by oxidative acylation with lead tetraacetate and acetic acid and hydrolysis with acetic acid/water gives 9-hydroxycamptothecin (II), which is then treated with formaldehyde and dimethylamine in acetic acid. The hydrochloride salt is prepared by treatment of the acetic acid solution with diluted HCl.

参考文献No.140053
标题:Synthesis of water soluble (aminoalkyl) camptothecin analogues: Inhibition of topoisomerase I and antitumor activity
作者:Kingsbury, W.D.; Boehm, J.C.; Jakas, D.R.; Holden, K.G.; Hecht, S.M.; Gallagher, G.; Caranfa, M.J.; McCabe, F.L.; Faucette, L.F.; Johnson, R.K.; et al.
来源:J Med Chem 1991,34(1),98-107
合成路线图解说明:

The reduction of camptothecin (I) with H2 over PtO2 in acetic acid, followed by oxidative acylation with lead tetraacetate and acetic acid and hydrolysis with acetic acid/water gives 9-hydroxycamptothecin (II), which is then treated with formaldehyde and dimethylamine in acetic acid. The hydrochloride salt is prepared by treatment of the acetic acid solution with diluted HCl.

参考文献No.298942
标题:Topotecan Hydrochloride
作者:Casta馿r, J.; Spiridonidis, C.H.
来源:Drugs Fut 1995,20(5),483
合成路线图解说明:

The reduction of camptothecin (I) with H2 over PtO2 in acetic acid, followed by oxidative acylation with lead tetraacetate and acetic acid and hydrolysis with acetic acid/water gives 9-hydroxycamptothecin (II), which is then treated with formaldehyde and dimethylamine in acetic acid. The hydrochloride salt is prepared by treatment of the acetic acid solution with diluted HCl.

Drug Information Express,Drug R&D,Chemical Database,Patent Search.
Copyright © 2006-2026 Drug Future. All rights reserved.Contact Us