【药物名称】GYKI-12743
化学结构式(Chemical Structure):
参考文献No.6214
标题:3(2H)-Pyridazinone derivs., a process and intermediates for preparing them and medicaments containing them and/or other 3(2H)-pyridazinone derivatives
作者:Kasztreiner, E.; Rabloczky, G.; Makk, N.; Jaszlits, L.; Matyus, P.; Cseh, G.; Pribusz, geb. Rapp, I.; Czak? K.; Diesler, E.; Elekes, I.; Kaufer, L.; Kuh醨, geb. K黵thy, M.; Kincsessy, J.; Kos醨y, J.; Nagy, Gy鰊gyi geb. C. (Richter Gedeon Vegyeszeti)
来源:AU 8664496; EP 0220735; JP 87161768
合成路线图解说明:

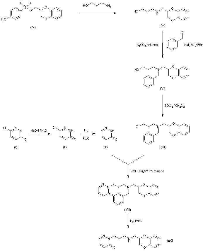
Title compound can be prepared as shown in Scheme: 1) 3,6-Dichloropyridazine (I) is converted to 3(2H)-pyridazinone (III) in two steps. 2) 3-N-(2-Benzo[1,4]dioxanylmethyl)amino-1-propanol (V), obtained by the reaction of (2-benzo[1,4]dioxanylmethyl)-4-toluenesulfonate (IV) with 3-amino-1-propanol, is N-benzylated to form the N-protected amino alcohol (VI), which on treatment with thionyl chloride affords the chloroalkyl derivative (VII). 3) Alkylation of 3(2H)-pyridazinone (III) with (VII) under phase-transfer catalysis conditions to the N-benzylated GYKI-12743 (VIII) and then removal of the N-benzyl group by hydrogenation gives GYKI-12743.

参考文献No.96005
标题:GYKI-12743
作者:Kasztreiner, E.; M醫yus, P.; Rabloczky, G.; Jaszlits, L.
来源:Drugs Fut 1989,14(7),622
合成路线图解说明:

Title compound can be prepared as shown in Scheme: 1) 3,6-Dichloropyridazine (I) is converted to 3(2H)-pyridazinone (III) in two steps. 2) 3-N-(2-Benzo[1,4]dioxanylmethyl)amino-1-propanol (V), obtained by the reaction of (2-benzo[1,4]dioxanylmethyl)-4-toluenesulfonate (IV) with 3-amino-1-propanol, is N-benzylated to form the N-protected amino alcohol (VI), which on treatment with thionyl chloride affords the chloroalkyl derivative (VII). 3) Alkylation of 3(2H)-pyridazinone (III) with (VII) under phase-transfer catalysis conditions to the N-benzylated GYKI-12743 (VIII) and then removal of the N-benzyl group by hydrogenation gives GYKI-12743.

Drug Information Express,Drug R&D,Chemical Database,Patent Search.
Copyright © 2006-2026 Drug Future. All rights reserved.Contact Us