【药物名称】Soquinolol mucate, We-704, Sertum
化学结构式(Chemical Structure):
参考文献No.3743
标题:New isoquinoline derivatives
作者:Westermann, A.; Zimmermann, F.; Wuppermann, D.; Friedrich, L.; Raschack, M. (Knoll AG)
来源:DE 2620179
合成路线图解说明:

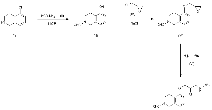
The formylation of 5-hydroxy-1,2,3,4-tetrahydroisoquinoline (I) with formamide (II) at 140 C gives N-formyl-5-hydroxy-1,2,3,4-tetrahydroisoquinoline (III), which is condensed with epichlorohydrin (IV) by means of NaOH in water yielding N-formyl-5-(2,3-epoxypropoxy)-1,2,3,4-tetrahydroisoquinoline (V). Finally, this compound is condensed with tert-butylamine (VI).

参考文献No.9831
标题:Isoquinoline derivatives
作者:Knoll, A.-G. (Knoll AG)
来源:NL 7513301
合成路线图解说明:

The formylation of 5-hydroxy-1,2,3,4-tetrahydroisoquinoline (I) with formamide (II) at 140 C gives N-formyl-5-hydroxy-1,2,3,4-tetrahydroisoquinoline (III), which is condensed with epichlorohydrin (IV) by means of NaOH in water yielding N-formyl-5-(2,3-epoxypropoxy)-1,2,3,4-tetrahydroisoquinoline (V). Finally, this compound is condensed with tert-butylamine (VI).

参考文献No.89822
标题:SOQUINOLOL MUCATE < Rec INNM >
作者:Prous, J.; Casta馿r, J.
来源:Drugs Fut 1989,14(5),439
合成路线图解说明:

The formylation of 5-hydroxy-1,2,3,4-tetrahydroisoquinoline (I) with formamide (II) at 140 C gives N-formyl-5-hydroxy-1,2,3,4-tetrahydroisoquinoline (III), which is condensed with epichlorohydrin (IV) by means of NaOH in water yielding N-formyl-5-(2,3-epoxypropoxy)-1,2,3,4-tetrahydroisoquinoline (V). Finally, this compound is condensed with tert-butylamine (VI).

Drug Information Express,Drug R&D,Chemical Database,Patent Search.
Copyright © 2006-2026 Drug Future. All rights reserved.Contact Us