【药物名称】Methoctramine
化学结构式(Chemical Structure):
参考文献No.96004
标题:METHOCTRAMINE
作者:Melchiorre, C.; Minarini, A.; Quaglia, W.; Tumiatti, V.
来源:Drugs Fut 1989,14(7),628
合成路线图解说明:

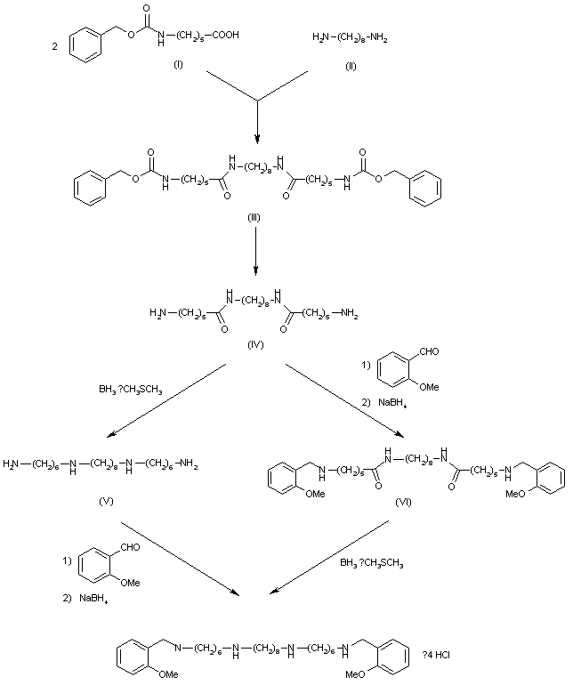
N-(Benzyloxycarbonyl)-6-aminocaproic acid (I) is reacted with 1,8-octanediamine (II) to give amide (III). The protecting group can be removed either by hydrogenolysis or by gaseous HBr affording (IV), which is reduced with borane-methyl sulfide complex to yield N,N'-bis(6-aminohexyl)-1,8-octanediamine (V). Condensation of (V) with 2-methoxybenzaldehyde and subsequent reduction of the intermediate Schiff base gives methoctramine. However, methoctramine can be prepared more conveniently by transforming (IV) to (VI) followed by reduction of amide groups with borane.

参考文献No.107058
标题:Differential blockade of muscarinic receptor subtypes by polymethylene tetraamines. Novel class of selective antagonists of cardiac M2 muscarinic receptors
作者:Quaglia, W.; Melchiorre, C.; Cassinelli, A.
来源:J Med Chem 1987,30(1),201
合成路线图解说明:

N-(Benzyloxycarbonyl)-6-aminocaproic acid (I) is reacted with 1,8-octanediamine (II) to give amide (III). The protecting group can be removed either by hydrogenolysis or by gaseous HBr affording (IV), which is reduced with borane-methyl sulfide complex to yield N,N'-bis(6-aminohexyl)-1,8-octanediamine (V). Condensation of (V) with 2-methoxybenzaldehyde and subsequent reduction of the intermediate Schiff base gives methoctramine. However, methoctramine can be prepared more conveniently by transforming (IV) to (VI) followed by reduction of amide groups with borane.

Drug Information Express,Drug R&D,Chemical Database,Patent Search.
Copyright © 2006-2026 Drug Future. All rights reserved.Contact Us