【药物名称】Tifurac sodium, RS-82917-030, RS-82917(as anhydrous free acid)
化学结构式(Chemical Structure):
参考文献No.730
标题:Aroyl benzofuran and benzothiophene acetic and propionic acids, processes for their production and pharmaceutical compositions containing them
作者:Dunn, J.P. (Syntex (USA) LLC)
来源:AU 8430593; EP 0132130; ES 8604554; ES 8607960; JP 85038376
合成路线图解说明:

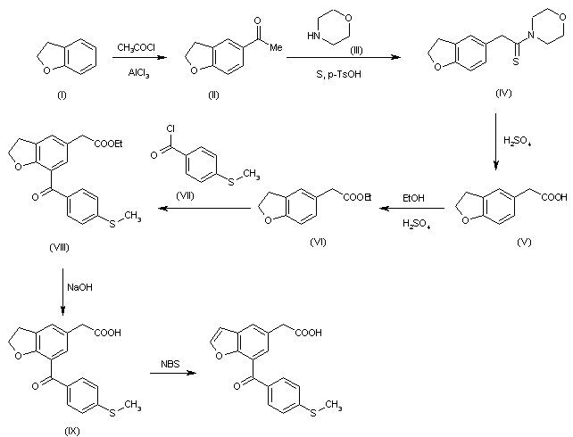
The acylation of 2,3-dihydrobenzofuran (I) with acetyl chloride and AlCl3 in dichloromethane gives 5-acetyl-2,3-dihydrobenzofuran (II), which by reaction with sulfur, morpholine (III) and p-toluenesulfonic acid at high temperature yields 2-(2,3-dihydrobenzofuran-5-yl)thioacetic acid morpholide (IV). The hydrolysis of (IV) with H2SO4 in refluxing water-acetic acid affords 2-(2,3-dihydrobenzofuran-5-yl) acetic acid (V), which is esterified to (VI) with ethanol and H2SO4 in refluxing toluene. The condensation of the ester (VI) with 4-(methylthio)benzoyl chloride (VII) by means of SnCl4 in refluxing dichloromethane gives ethyl 2-[7-[4-(methylthio)benzoyl]benzofuran-5-yl]acetate (VIII), which by hydrolysis with NaOH in refluxing methanol-water yields the corresponding acid (IX). Finally, this compound is dehydrogenated with N-bromosuccinimide (NBS) and dibenzoyl peroxide in refluxing CCl4.

参考文献No.103348
标题:TIFURAC SODIUM < Rec INNM; USAN >
作者:Prous, J.; Casta馿r, J.
来源:Drugs Fut 1989,14(8),775
合成路线图解说明:

The acylation of 2,3-dihydrobenzofuran (I) with acetyl chloride and AlCl3 in dichloromethane gives 5-acetyl-2,3-dihydrobenzofuran (II), which by reaction with sulfur, morpholine (III) and p-toluenesulfonic acid at high temperature yields 2-(2,3-dihydrobenzofuran-5-yl)thioacetic acid morpholide (IV). The hydrolysis of (IV) with H2SO4 in refluxing water-acetic acid affords 2-(2,3-dihydrobenzofuran-5-yl) acetic acid (V), which is esterified to (VI) with ethanol and H2SO4 in refluxing toluene. The condensation of the ester (VI) with 4-(methylthio)benzoyl chloride (VII) by means of SnCl4 in refluxing dichloromethane gives ethyl 2-[7-[4-(methylthio)benzoyl]benzofuran-5-yl]acetate (VIII), which by hydrolysis with NaOH in refluxing methanol-water yields the corresponding acid (IX). Finally, this compound is dehydrogenated with N-bromosuccinimide (NBS) and dibenzoyl peroxide in refluxing CCl4.

参考文献No.107835
标题:Analgetic and antiinflammatory 7-aroylbenzofuran-5-yl acetic acids and 7-aroylbenzothiophene-5-ylacetic acids
作者:Tomolonis, A.J.; Dunn, J.P.; Ackerman, N.A.
来源:J Med Chem 1986,29(11),2326
合成路线图解说明:

The acylation of 2,3-dihydrobenzofuran (I) with acetyl chloride and AlCl3 in dichloromethane gives 5-acetyl-2,3-dihydrobenzofuran (II), which by reaction with sulfur, morpholine (III) and p-toluenesulfonic acid at high temperature yields 2-(2,3-dihydrobenzofuran-5-yl)thioacetic acid morpholide (IV). The hydrolysis of (IV) with H2SO4 in refluxing water-acetic acid affords 2-(2,3-dihydrobenzofuran-5-yl) acetic acid (V), which is esterified to (VI) with ethanol and H2SO4 in refluxing toluene. The condensation of the ester (VI) with 4-(methylthio)benzoyl chloride (VII) by means of SnCl4 in refluxing dichloromethane gives ethyl 2-[7-[4-(methylthio)benzoyl]benzofuran-5-yl]acetate (VIII), which by hydrolysis with NaOH in refluxing methanol-water yields the corresponding acid (IX). Finally, this compound is dehydrogenated with N-bromosuccinimide (NBS) and dibenzoyl peroxide in refluxing CCl4.

Drug Information Express,Drug R&D,Chemical Database,Patent Search.
Copyright © 2006-2026 Drug Future. All rights reserved.Contact Us